Time management is very much important in IIT JAM. The eduncle test series for IIT JAM Mathematical Statistics helped me a lot in this portion. I am very thankful to the test series I bought from eduncle.
Nilanjan Bhowmick AIR 3, CSIR NET (Earth Science)
>
>
>


Ruby negi
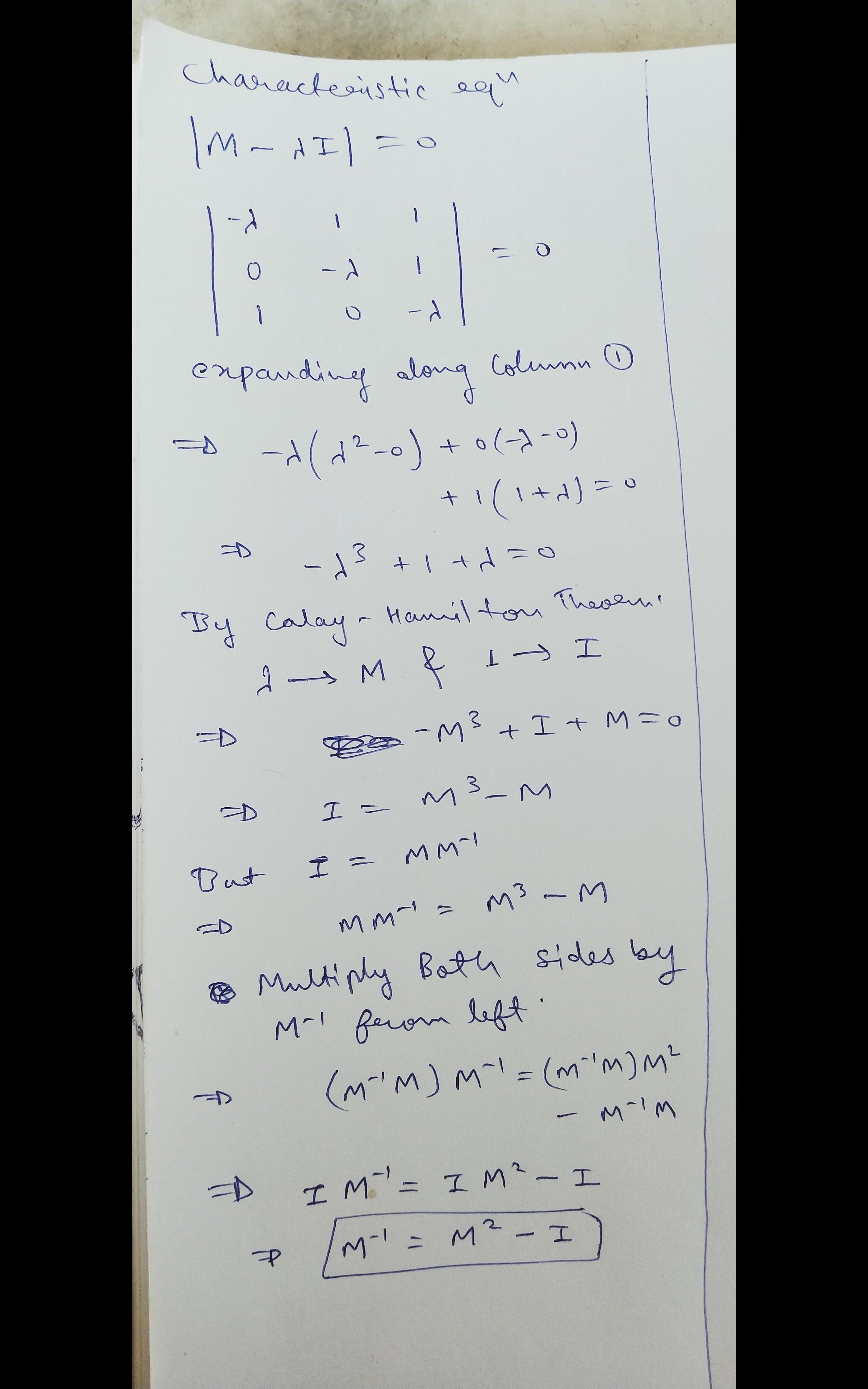
this is 3*3 matrix so the characteristics equation is in cubic of x form. there is a Carly Hamilton theorem which states that every matix satisfies it's characteristics equation, so ur characteristics equation in M^3 form, when u multiple M^(-1) then u get option b..