Time management is very much important in IIT JAM. The eduncle test series for IIT JAM Mathematical Statistics helped me a lot in this portion. I am very thankful to the test series I bought from eduncle.
Nilanjan Bhowmick AIR 3, CSIR NET (Earth Science)
>


Deepak singh 1 Best Answer
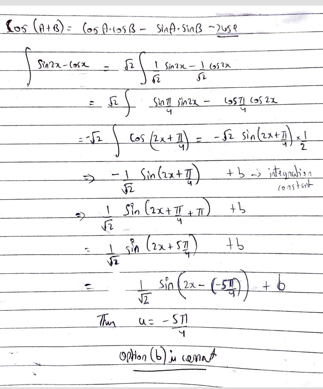
Refer attachment option b
sir how to approach the result using this method
?????
unable to understand how this expression came here ?
if you differentaite f(x) you will get the integrand
means you are differentiating both sides and then equating to find a ?
I am differentiating a function to get the integrand, the problem is that I am unable to turn it into one of the options.