Time management is very much important in IIT JAM. The eduncle test series for IIT JAM Mathematical Statistics helped me a lot in this portion. I am very thankful to the test series I bought from eduncle.
Nilanjan Bhowmick AIR 3, CSIR NET (Earth Science)
>
>



Priyanshu kumar
check this
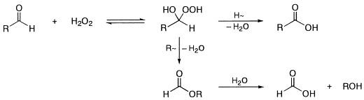
please draw mechanism with the help of arrow
okk wait gouri
did you try this?
check
got this gouri?