Nandani posted an Question
April 11, 2022 • 01:51 am 30 points
  • IIT JAM
  • Mathematics (MA)

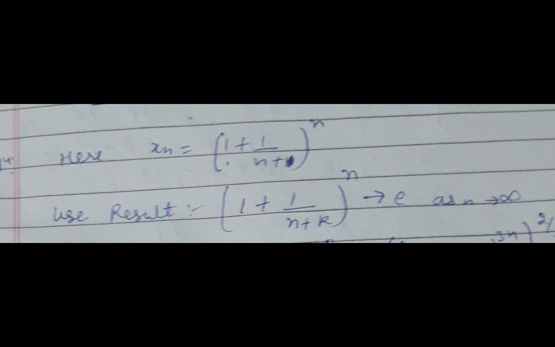
N 1 1+ n+1 .the sequence {xn}, where x, = converge to

n 1 1+ n+1 .The sequence {xn}, where x, = Converge to

1 Answer(s) Answer Now
  • 0 Likes
  • 1 Comments
  • 0 Shares
whatsapp-btn

Do You Want Better RANK in Your Exam?

Start Your Preparations with Eduncle’s FREE Study Material

  • Updated Syllabus, Paper Pattern & Full Exam Details
  • Sample Theory of Most Important Topic
  • Model Test Paper with Detailed Solutions
  • Last 5 Years Question Papers & Answers