Time management is very much important in IIT JAM. The eduncle test series for IIT JAM Mathematical Statistics helped me a lot in this portion. I am very thankful to the test series I bought from eduncle.
Nilanjan Bhowmick AIR 3, CSIR NET (Earth Science)
>
>

>


Priyanshu kumar
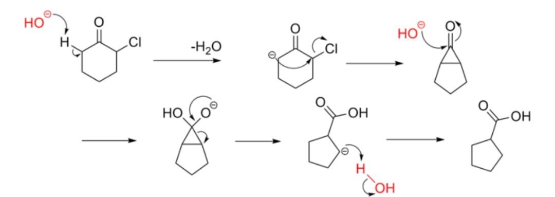
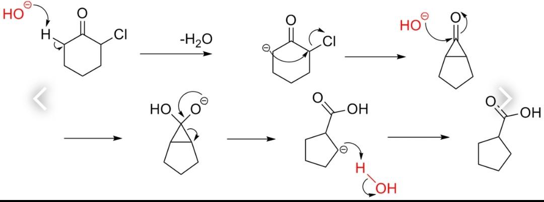
alpha bromination followed by favorskii rearrangement
please ask aswin if any doubt