Time management is very much important in IIT JAM. The eduncle test series for IIT JAM Mathematical Statistics helped me a lot in this portion. I am very thankful to the test series I bought from eduncle.
Nilanjan Bhowmick AIR 3, CSIR NET (Earth Science)
>


Priyanshu kumar Best Answer
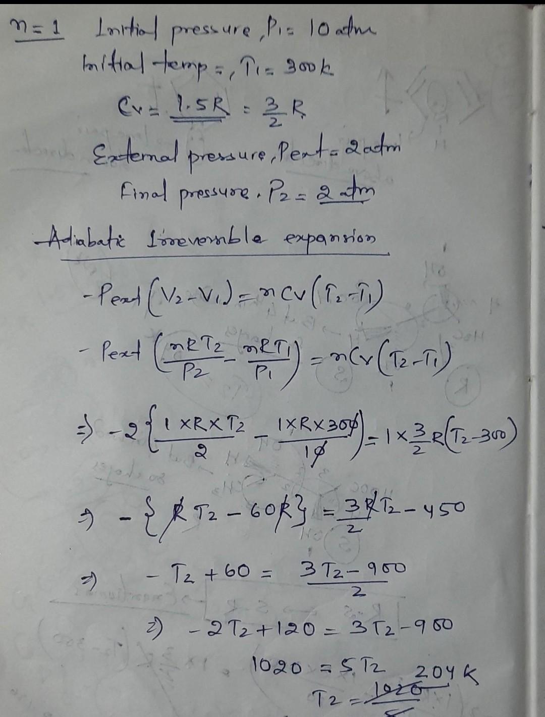
This is for irreversible process 👇
For reversible process you know this will be 0
sir the formula using p v^y is only used for reversible process?