Time management is very much important in IIT JAM. The eduncle test series for IIT JAM Mathematical Statistics helped me a lot in this portion. I am very thankful to the test series I bought from eduncle.
Nilanjan Bhowmick AIR 3, CSIR NET (Earth Science) 
		 
			 
			 
			 
			 
			 
			 
			 
			 
			 
 
 
             
            

 
                
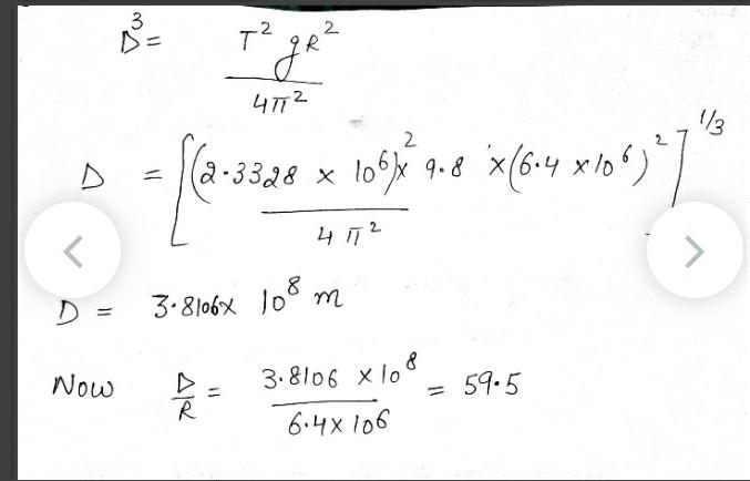
Animesh anand![best-answer]() 
			
kindly find your answer attach below
ye underoot me value kaise aai kya aap bta sakte h please
kaun si value
Kepler third law T^2 proportional to R^3