Time management is very much important in IIT JAM. The eduncle test series for IIT JAM Mathematical Statistics helped me a lot in this portion. I am very thankful to the test series I bought from eduncle.
Nilanjan Bhowmick AIR 3, CSIR NET (Earth Science)
>
>


Priyanshu kumar
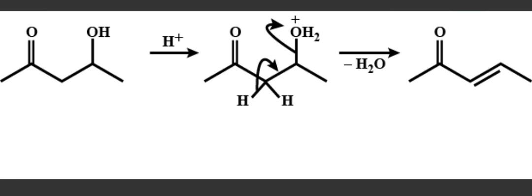
Aldols (β− hydroxy aldehydes or β− hydroxyketones) readily undergo dehydration to form α,β− unsaturated aldehydes or ketones. The alkene formed is stable due to conjugation. Option A is correct
https://doubtnut.com/question-answer-chemistry/which-one-of-the-following-compounds-will-be-most-readily-dehydrated-13168936 check this video solution
please ask aswin if any doubt