Shubham posted an Question
December 18, 2021 • 22:15 pm 30 points
  • IIT JAM
  • Mathematics (MA)

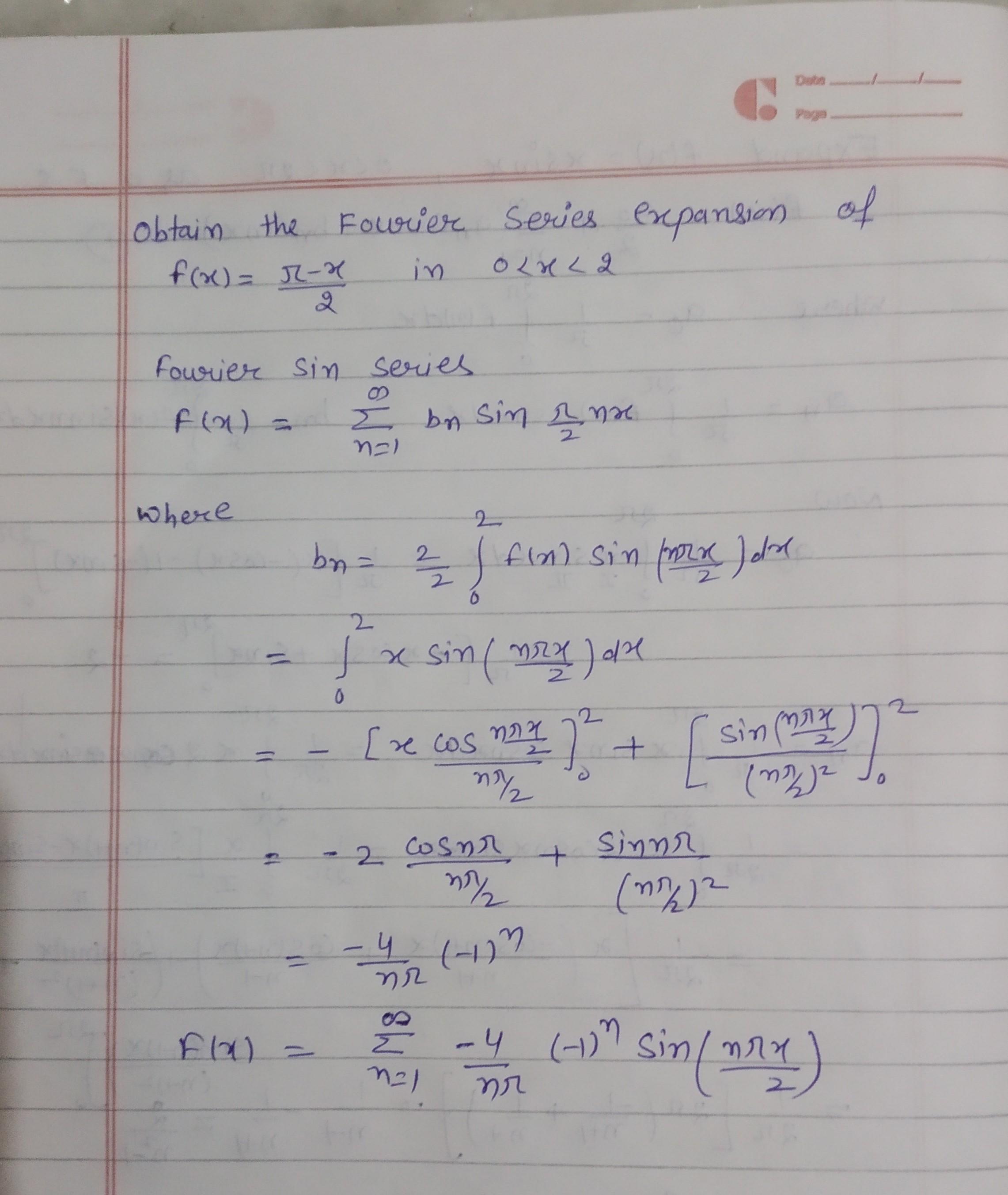
Obtain the fourier series expansion of f(x)= in0

Obtain the Fourier series expansion of f(x)= in0

1 Answer(s) Answer Now
  • 1 Likes
  • 1 Comments
  • 0 Shares

whatsapp-btn

Do You Want Better RANK in Your Exam?

Start Your Preparations with Eduncle’s FREE Study Material

  • Updated Syllabus, Paper Pattern & Full Exam Details
  • Sample Theory of Most Important Topic
  • Model Test Paper with Detailed Solutions
  • Last 5 Years Question Papers & Answers