Time management is very much important in IIT JAM. The eduncle test series for IIT JAM Mathematical Statistics helped me a lot in this portion. I am very thankful to the test series I bought from eduncle.
Nilanjan Bhowmick AIR 3, CSIR NET (Earth Science)
>


Deepak singh 1 Best Answer
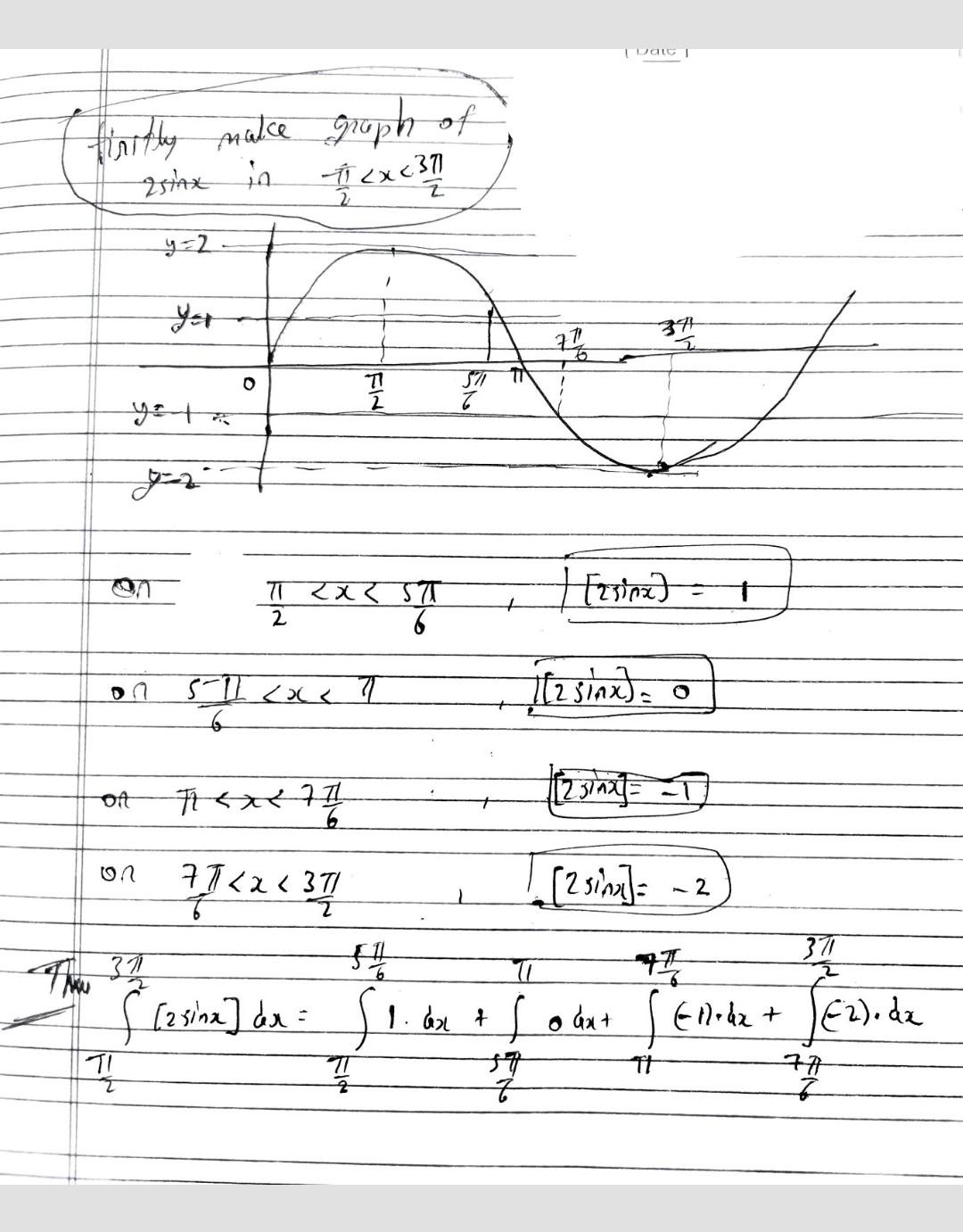
Refer attached
sir how u decided these red encircled ones pls once tell
did u found out them using any formulae ...if so pls once tell
No formula is used . Just find x where 2sinx =1 and plot accordingly .
got it now sir..thank u