Time management is very much important in IIT JAM. The eduncle test series for IIT JAM Mathematical Statistics helped me a lot in this portion. I am very thankful to the test series I bought from eduncle.
Nilanjan Bhowmick AIR 3, CSIR NET (Earth Science)
>
>
>
>


Abhishek singh Best Answer
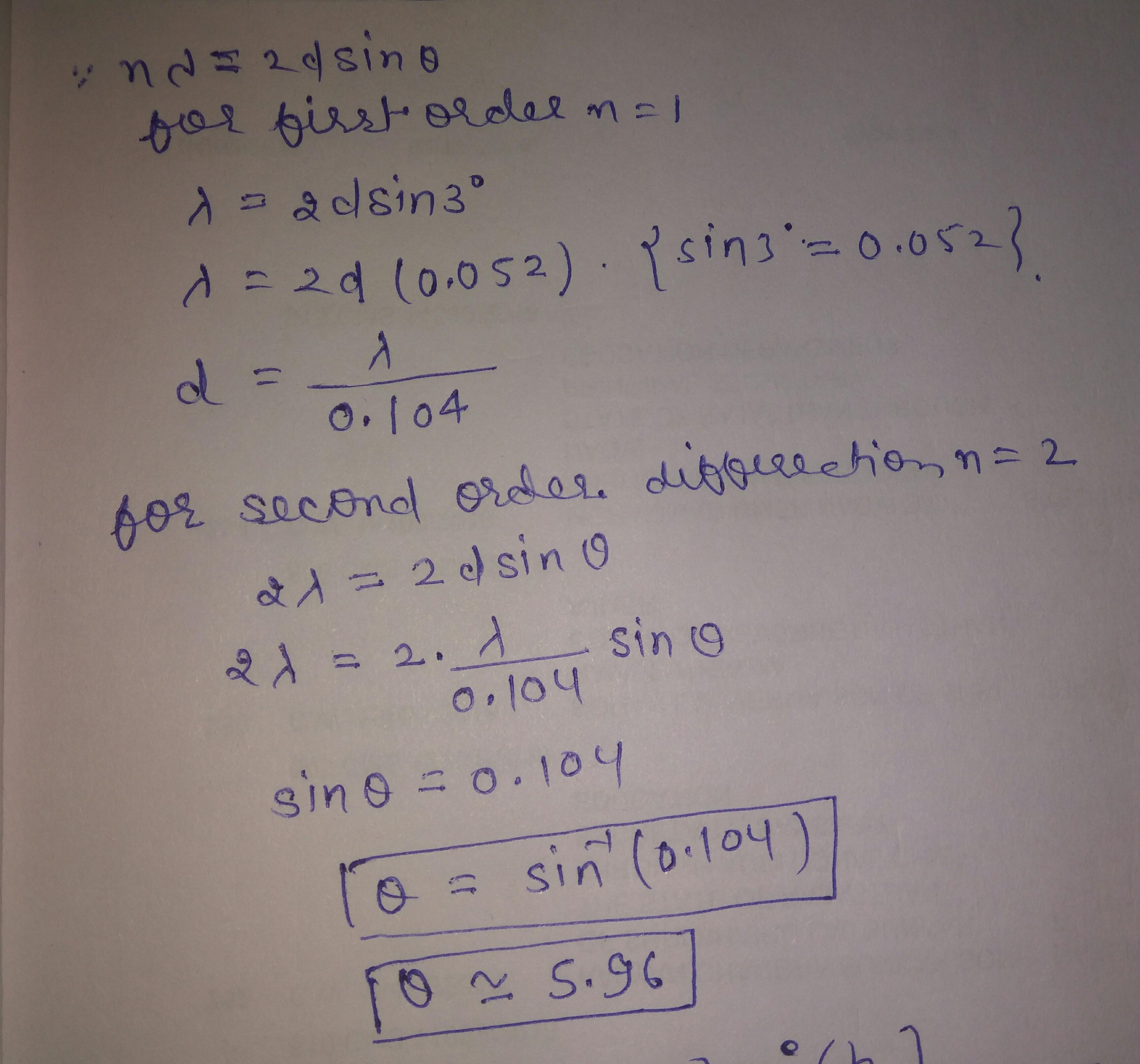
the angular dispersion is defined as the rate of change of the angle of the dispersed light, , with wavelength, λ. We can obtain an expression for the angular dispersion by differentiating the grating equation with respect to wavelength. I have attached two approaches. Best regards.
e first approach is the exact formulae for angular dispersion. Do remember this formula.