Time management is very much important in IIT JAM. The eduncle test series for IIT JAM Mathematical Statistics helped me a lot in this portion. I am very thankful to the test series I bought from eduncle.
Nilanjan Bhowmick AIR 3, CSIR NET (Earth Science)
>

>


Abhishek singh Best Answer
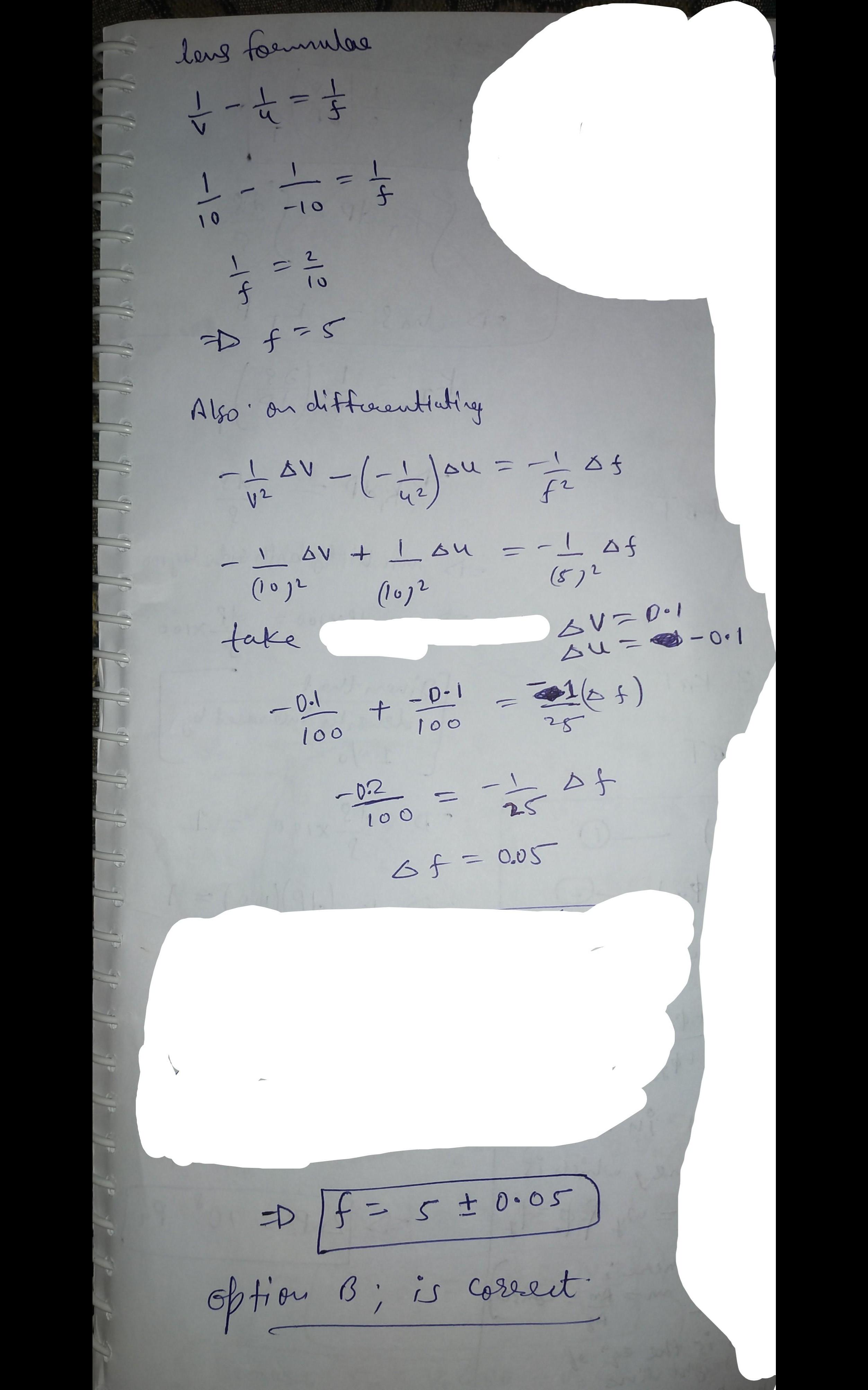
Yes, option B should be correct. Why did I get Option A is now clear to me and I will try to clear it to you as well. In my previous solution I had assumed the least count of the graph as 1 ( because I ignored the given divisions in between the 1 cm gape, from 10 to 11 cm. so the least count should be 0.1, replace 1 by 0.1 in my previous solution for ∆v and ∆u, and take ∆f directly ( don't devide it by f, as I previously did) I hope now it's clear to you. See the attached. ignore the white part. Regards.
you can ask further doubts if they exist!