Time management is very much important in IIT JAM. The eduncle test series for IIT JAM Mathematical Statistics helped me a lot in this portion. I am very thankful to the test series I bought from eduncle.
Nilanjan Bhowmick AIR 3, CSIR NET (Earth Science)
>


Deepak singh 1 Best Answer
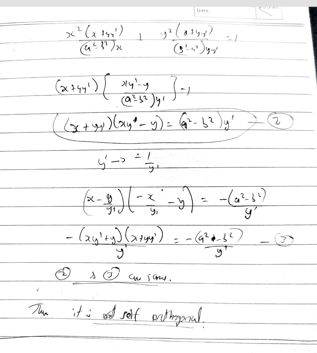
Refer attached option b is correct .
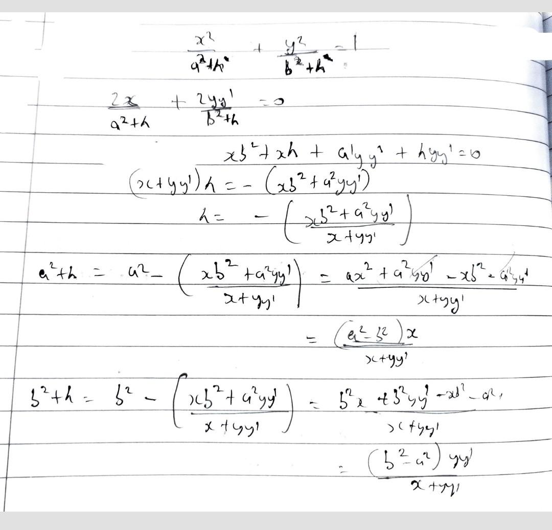
Can u tell me about the orthogonal and isothermal lines.????? How can I predict which one is orthogonal or isothermal line.???????
orthogonal means perpendicular .