Time management is very much important in IIT JAM. The eduncle test series for IIT JAM Mathematical Statistics helped me a lot in this portion. I am very thankful to the test series I bought from eduncle.
Nilanjan Bhowmick AIR 3, CSIR NET (Earth Science)
>



Bidyut sinha
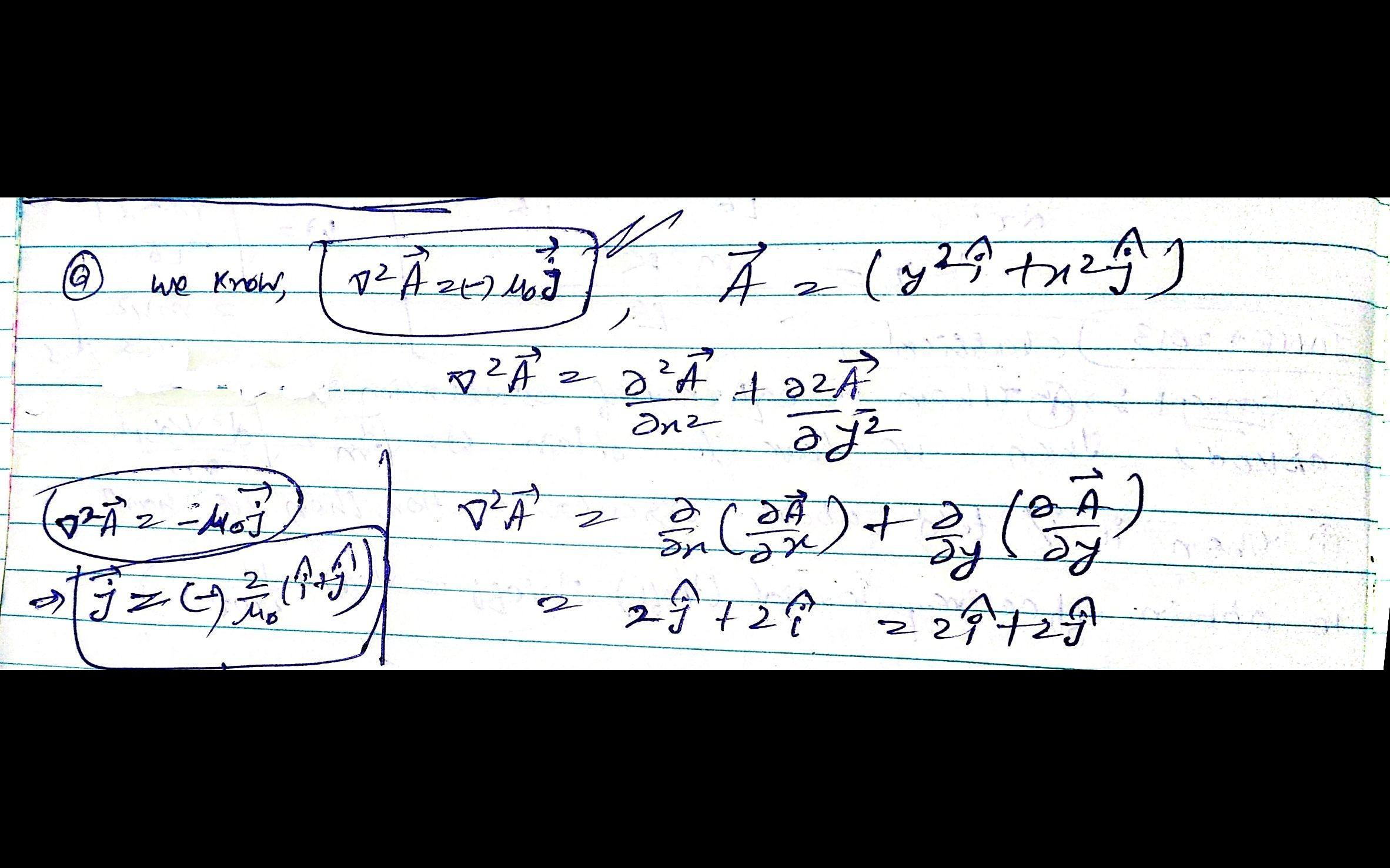
Del^2(Avector)=Del^2(Ax i cap+Ay j cap)=del^2/del x^2(Ax i cap+Ay j cap)+del^2/dely^2(Ax i cap+Ay j cap)...This is the actual thing...NOT separately Del^2/delx^2(i cap)...etc