Time management is very much important in IIT JAM. The eduncle test series for IIT JAM Mathematical Statistics helped me a lot in this portion. I am very thankful to the test series I bought from eduncle.
Nilanjan Bhowmick AIR 3, CSIR NET (Earth Science)
>
>

>



Shafiullah khan
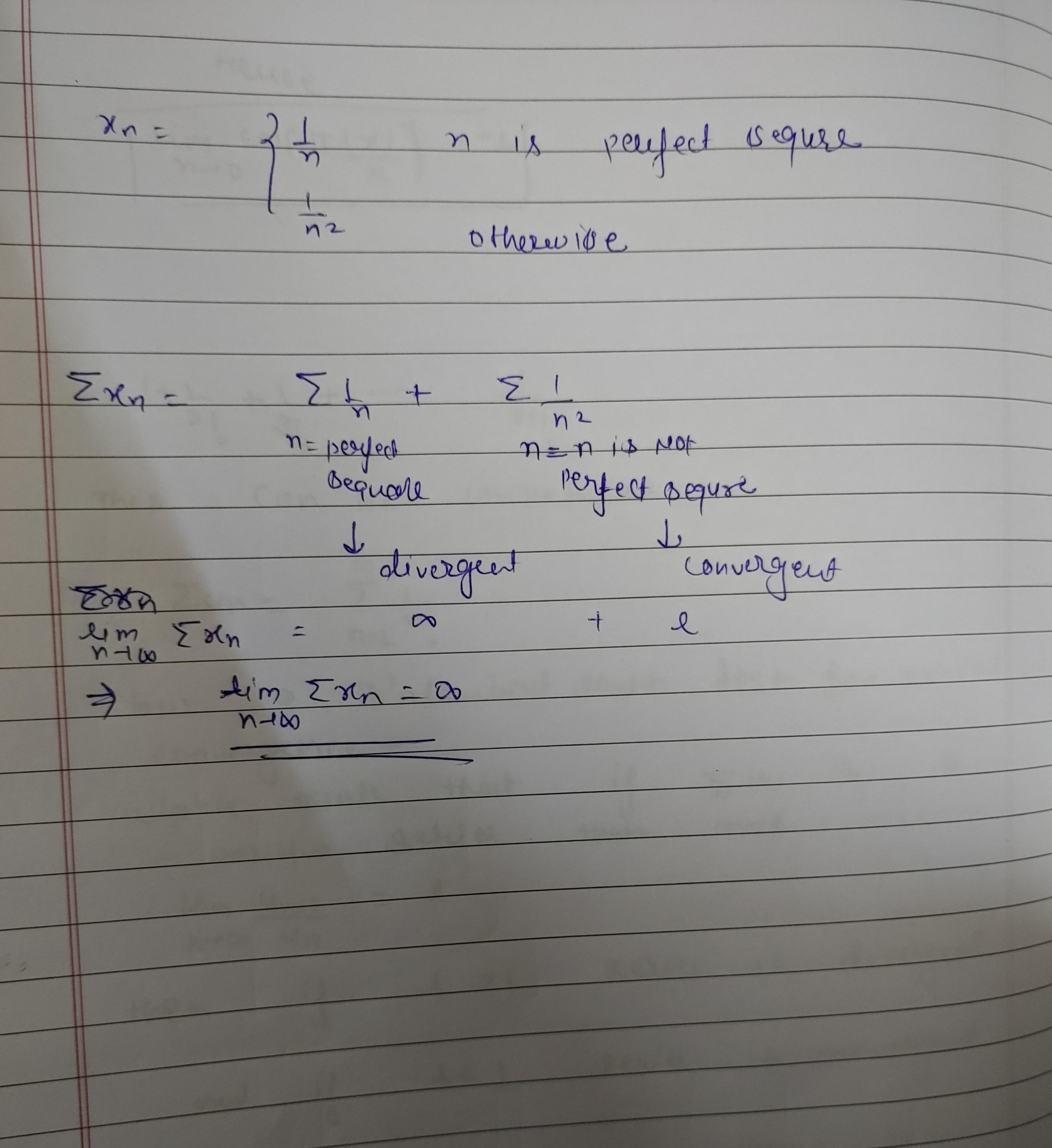
it's convergent series because terms of 1/n as n is perfect square is aslo subsequence of 1/n^2