Time management is very much important in IIT JAM. The eduncle test series for IIT JAM Mathematical Statistics helped me a lot in this portion. I am very thankful to the test series I bought from eduncle.
Nilanjan Bhowmick AIR 3, CSIR NET (Earth Science)
>


Bidyut sinha
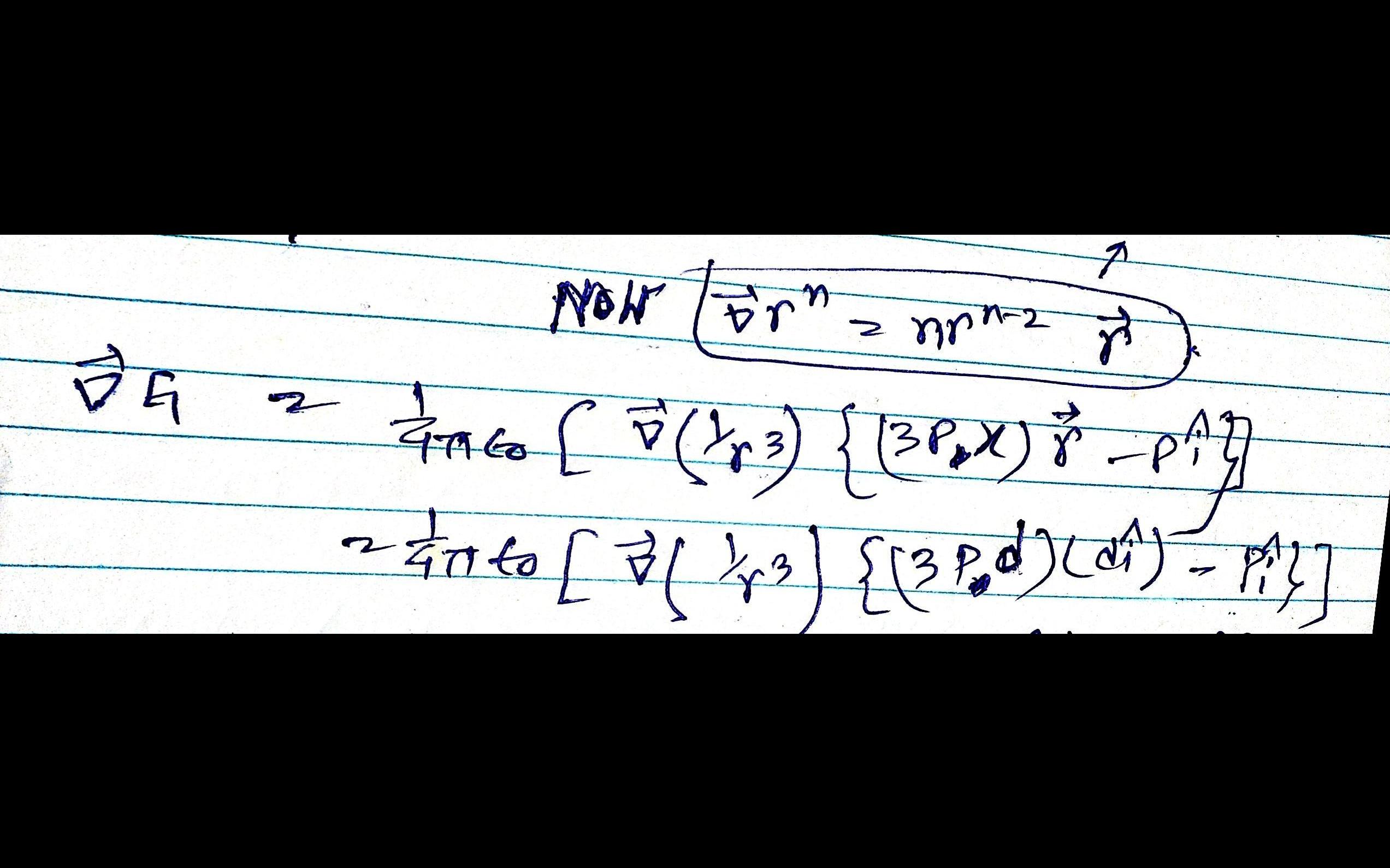
please check the attached picture. solution is already given..Just put x=d and use Formula of Grad(r^n)=n(r)^n-2 r Vector...
how to solve after this step