Time management is very much important in IIT JAM. The eduncle test series for IIT JAM Mathematical Statistics helped me a lot in this portion. I am very thankful to the test series I bought from eduncle.
Nilanjan Bhowmick AIR 3, CSIR NET (Earth Science)
>

>


Suman Kumar
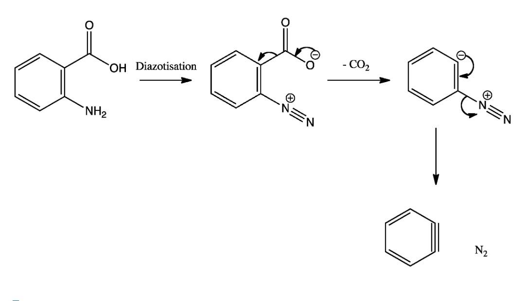
option C is correct
https://www.google.com/url?sa=t&source=web&rct=j&url=https://en.m.wikipedia.org/wiki/Aryne&ved=2ahUKEwjG9e7NlNXtAhWjzjgGHa4aAiwQmhMwD3oECAMQAg&usg=AOvVaw3hplI5JZuQ9Pw6GBafoIWM