Time management is very much important in IIT JAM. The eduncle test series for IIT JAM Mathematical Statistics helped me a lot in this portion. I am very thankful to the test series I bought from eduncle.
Nilanjan Bhowmick AIR 3, CSIR NET (Earth Science) 
		 
			 
			 
			 
			 
			 
			 
			 
			 
			 30 points
 30 points >
>
	 >
>
	 
			 
				 
				 
 
 
 
             
            

 
                
Priyanshu kumar Best Answer
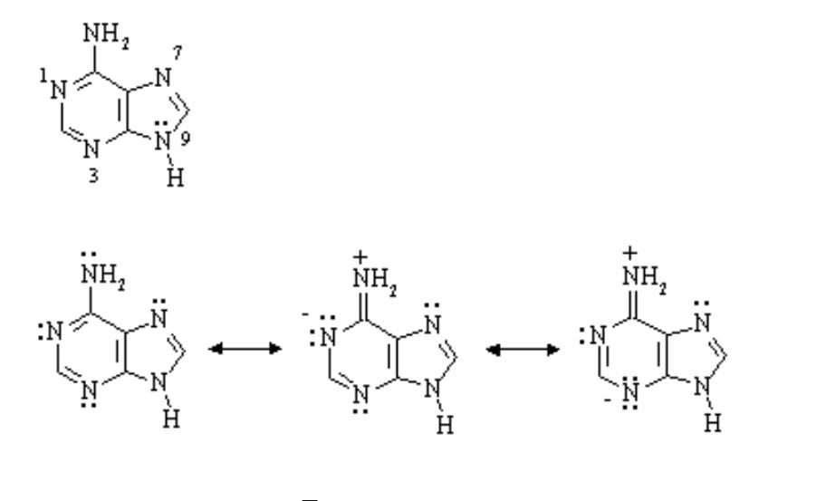
option A is correct
sir please explain
ok wait
roni check monoprotonation at 1st position