Time management is very much important in IIT JAM. The eduncle test series for IIT JAM Mathematical Statistics helped me a lot in this portion. I am very thankful to the test series I bought from eduncle.
Nilanjan Bhowmick AIR 3, CSIR NET (Earth Science)
>


Paramjeet verma Best Answer
option a
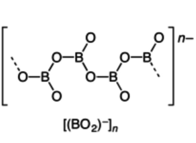
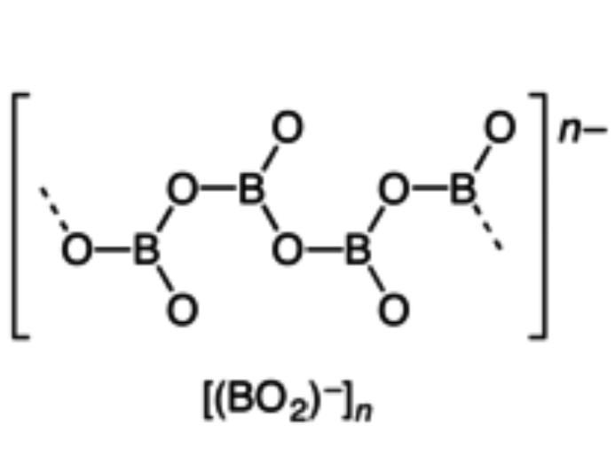
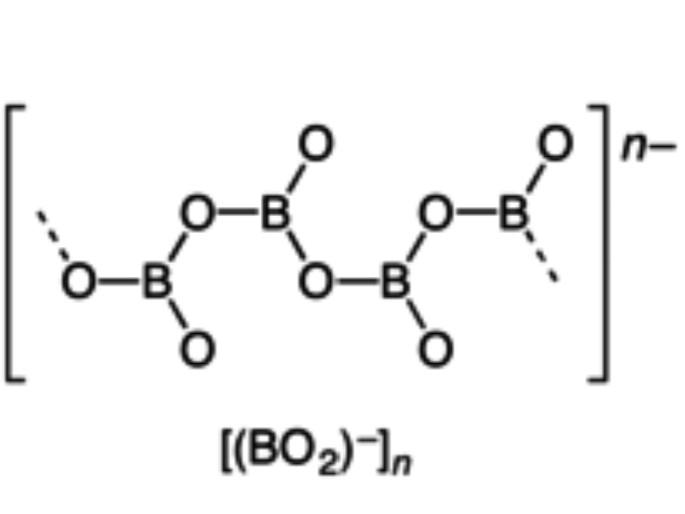
sir please explain how calculate the structural formula of this type structure
Actually you need to memorise the structures and formula for these structures.