Time management is very much important in IIT JAM. The eduncle test series for IIT JAM Mathematical Statistics helped me a lot in this portion. I am very thankful to the test series I bought from eduncle.
Nilanjan Bhowmick AIR 3, CSIR NET (Earth Science)
>


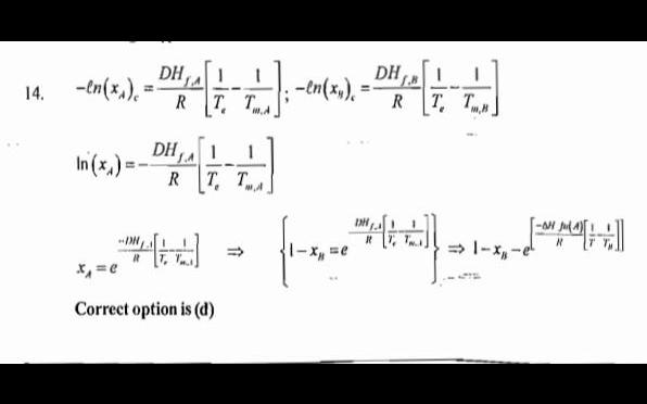
Paramjeet verma
refer the image.
sir what wrong in my calculations .. I couldn't match with ans .. please reply
ln(Pa/P) will be equal to ln(Xa). If you write as ln(P/Pa), then you have to put minus sign infront of that