Time management is very much important in IIT JAM. The eduncle test series for IIT JAM Mathematical Statistics helped me a lot in this portion. I am very thankful to the test series I bought from eduncle.
Nilanjan Bhowmick AIR 3, CSIR NET (Earth Science)
		
			
			
			
			
			
			
			
			
			
			
				
            
            

                
Shreyasi majumdar 1 Best Answer
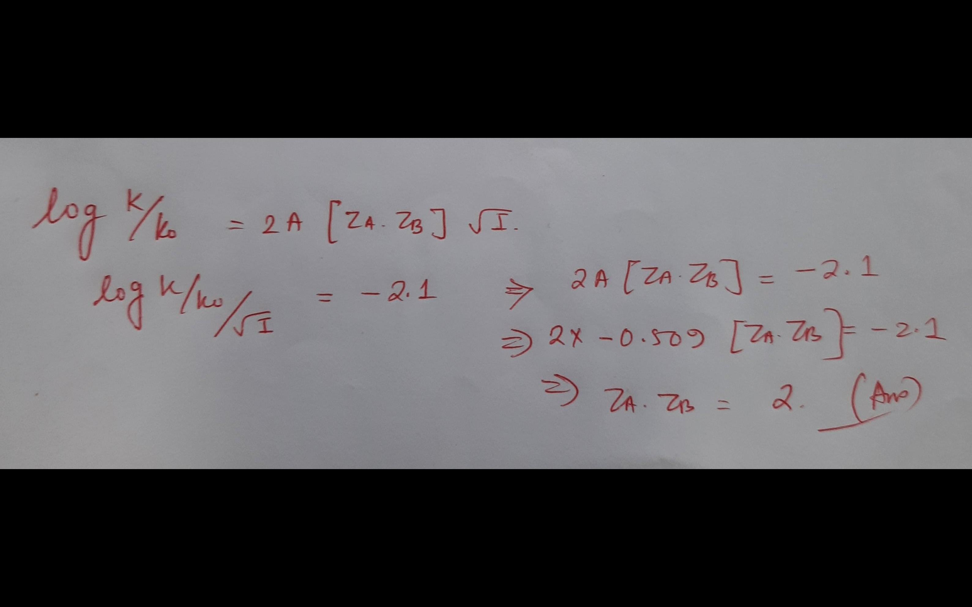
This is the derivation
Please select the main ans as best answer instead of this derivation
ok mam