Time management is very much important in IIT JAM. The eduncle test series for IIT JAM Mathematical Statistics helped me a lot in this portion. I am very thankful to the test series I bought from eduncle.
Nilanjan Bhowmick AIR 3, CSIR NET (Earth Science)


Priyadarshan Choursiya
for more details visit https://tutorial.math.lamar.edu/classes/calcii/surfacearea.aspx
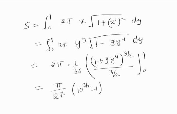
i know this formula. please point out the error in my solution
this is solution from my side. now compare it with your and trace it. it will help u to find your own mistakes in exam ☺️
there is no comparison possible as the methods are entirely different.