Time management is very much important in IIT JAM. The eduncle test series for IIT JAM Mathematical Statistics helped me a lot in this portion. I am very thankful to the test series I bought from eduncle.
Nilanjan Bhowmick AIR 3, CSIR NET (Earth Science)
>
>



Amol ashok pawar
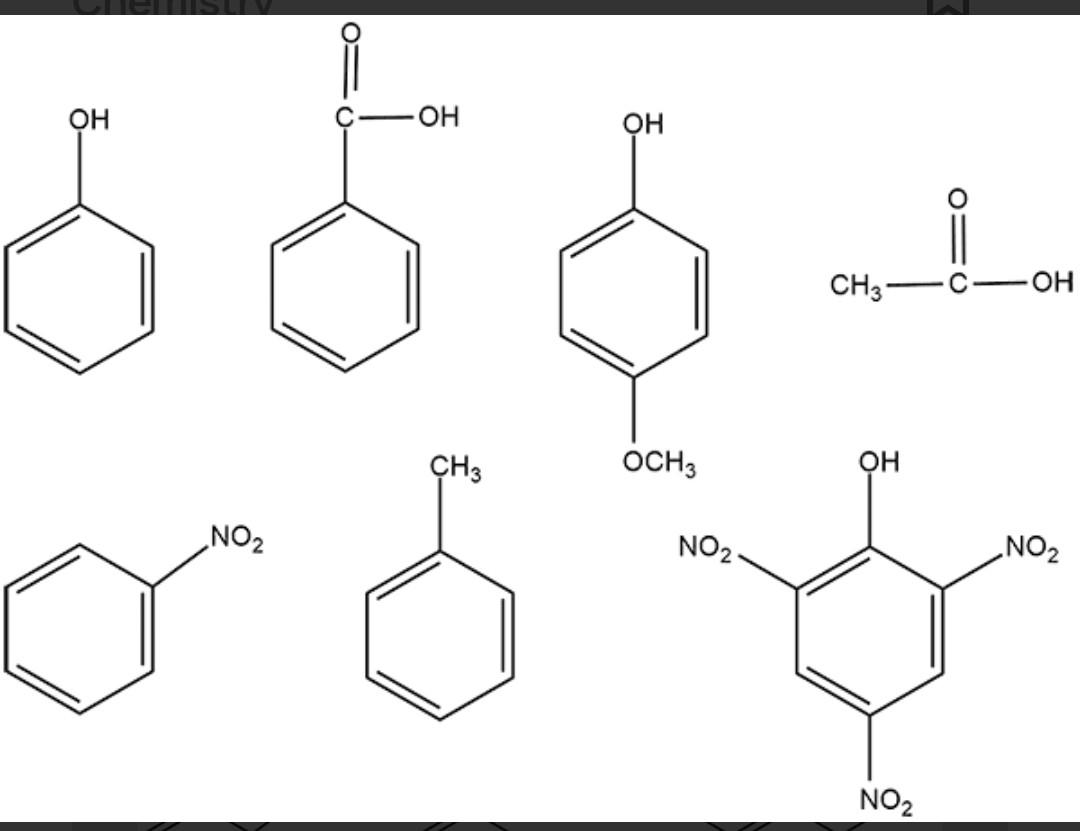
Alcohols and phenols do not react with sodium bicarbonate. Carboxylic acids and enols react with sodium bicarbonate to liberate carbon dioxide. So option B and D are correct Also try to solve given problem
ans: benzoic acid, acetic acid, 2,4,6 trinitro phenol
yes perfect 👍