Time management is very much important in IIT JAM. The eduncle test series for IIT JAM Mathematical Statistics helped me a lot in this portion. I am very thankful to the test series I bought from eduncle.
Nilanjan Bhowmick AIR 3, CSIR NET (Earth Science)
>
>


Aditi agrawal
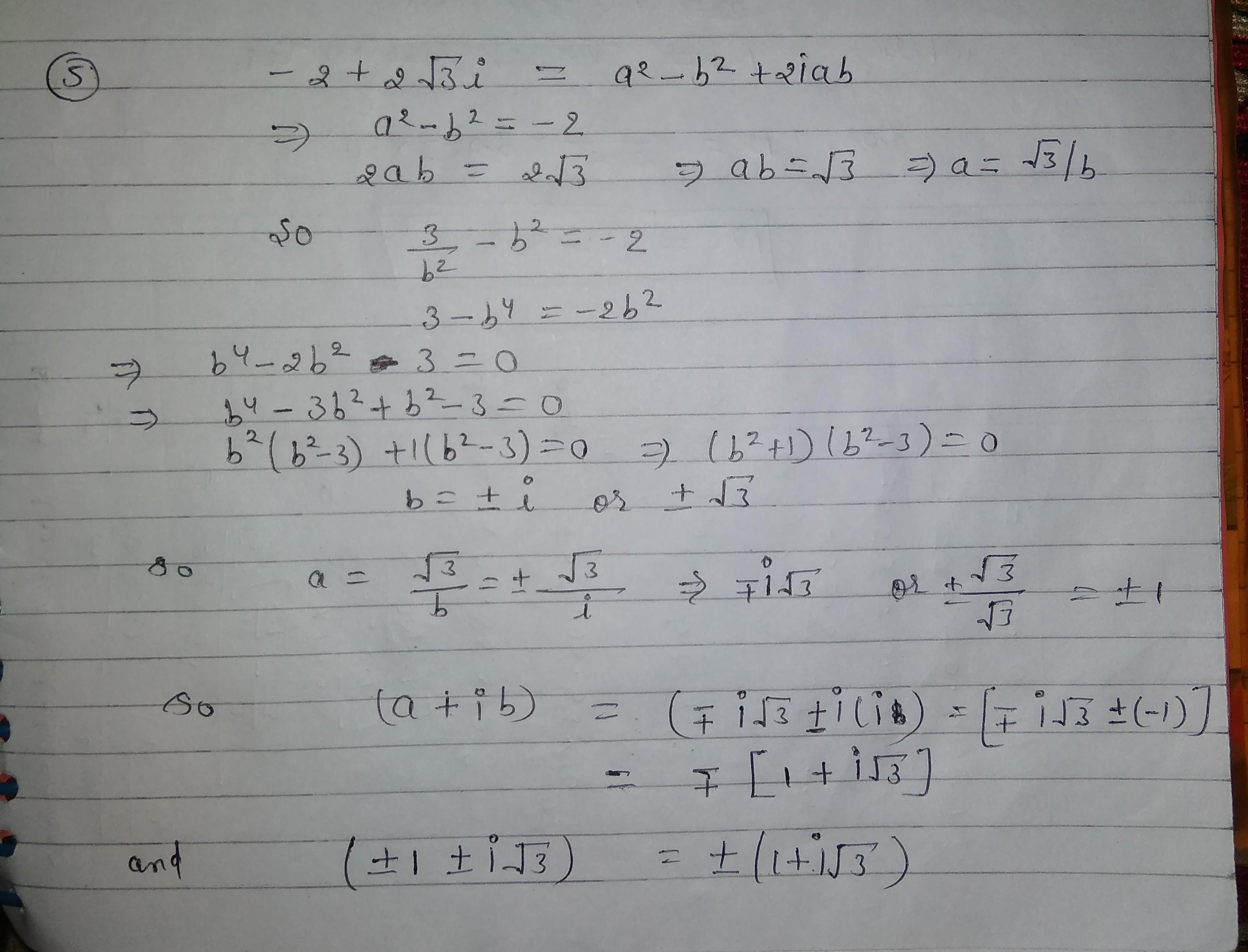
see the attached..if any problem you can ask..
Where did u get this root formula from?
i studied it in 12th class during preparation for iitjee