Time management is very much important in IIT JAM. The eduncle test series for IIT JAM Mathematical Statistics helped me a lot in this portion. I am very thankful to the test series I bought from eduncle.
Nilanjan Bhowmick AIR 3, CSIR NET (Earth Science)
>
>



Gattu uday
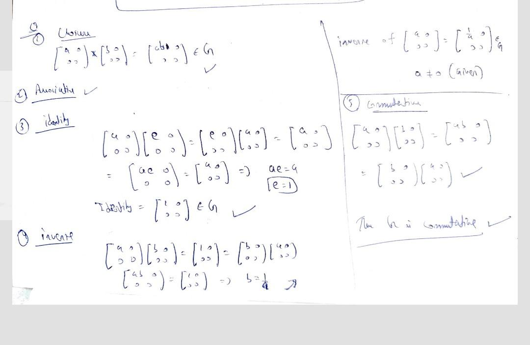
See dude here we are applying inverse property of group not finding a Inverse matrix for the given matrix ,both are different ... And u know set of all matrices forms a group under multiplication that means it includes all matrices invertible,non invertible,singular etc all