Time management is very much important in IIT JAM. The eduncle test series for IIT JAM Mathematical Statistics helped me a lot in this portion. I am very thankful to the test series I bought from eduncle.
Nilanjan Bhowmick AIR 3, CSIR NET (Earth Science)
>



Anonymous User Best Answer
pdf
?
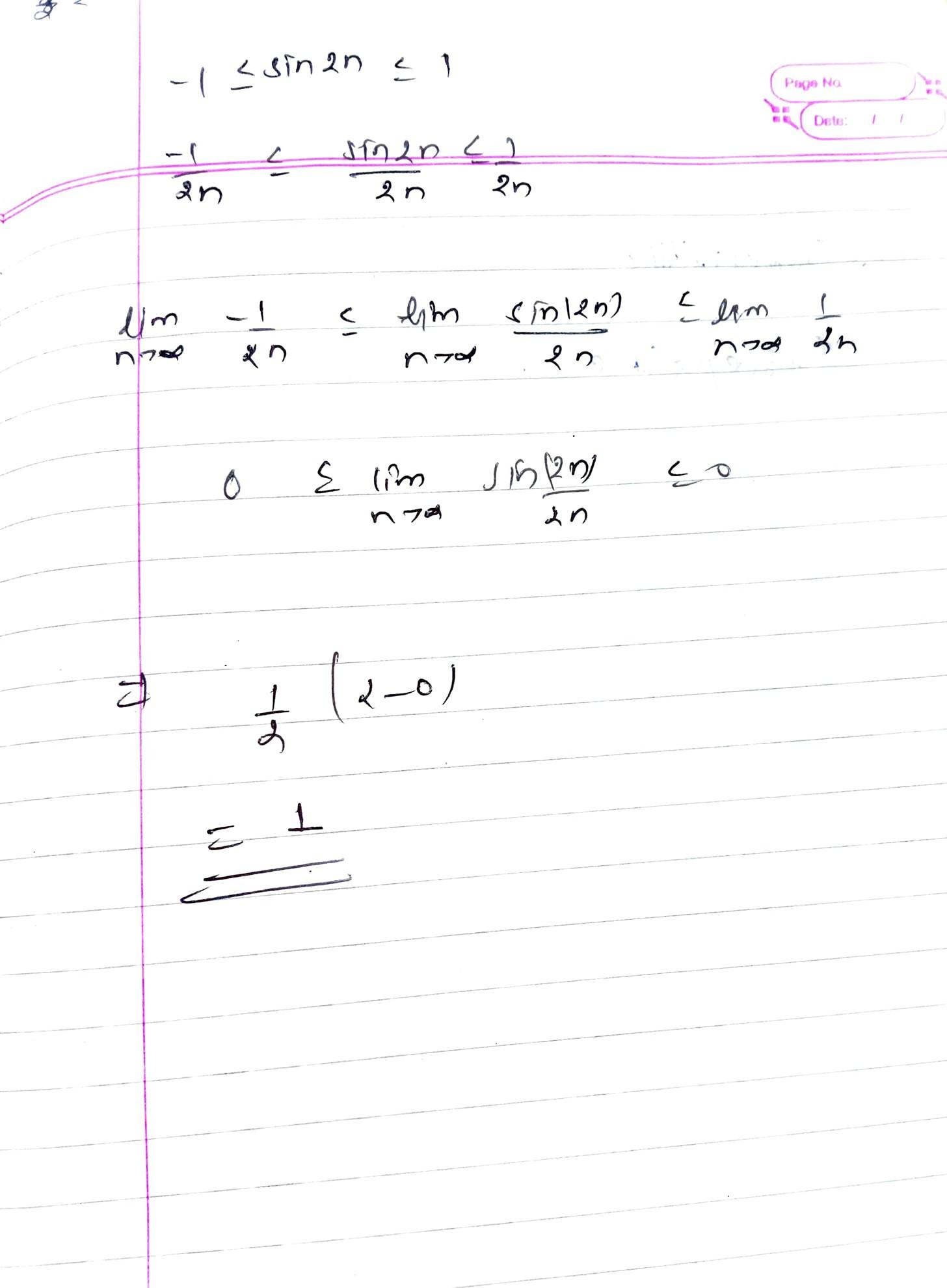
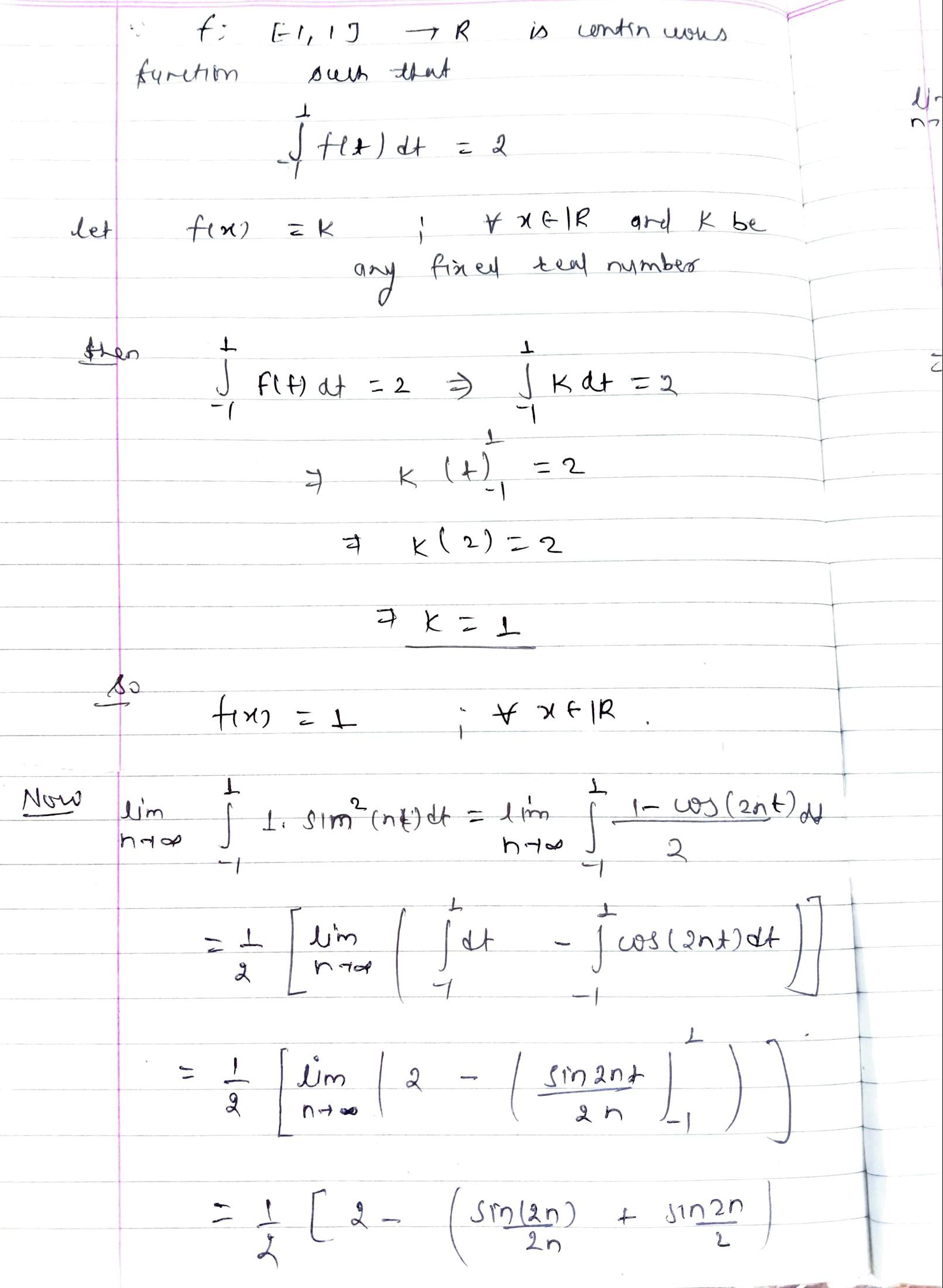
every constant function is always a continuous function
that's why I took a constant function
Thank you, Mahendra sir.
so I took in general any constant function K which values we found the given condition