profile-img
Vijay posted an Question
January 12, 2021 • 21:42 pm 30 points
  • IIT JAM
  • Mathematics (MA)

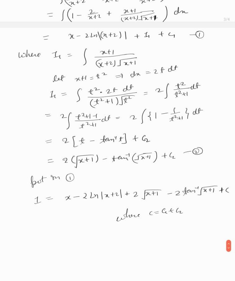
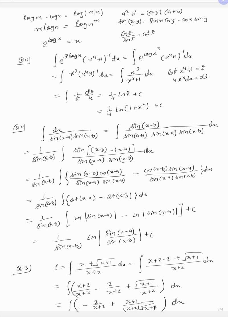
Please send a complete solution to the problem given in the attachment.

please send a complete solution to the problem given in the attachment.

2 Answer(s) Answer Now
  • 1 Likes
  • 2 Comments
  • 0 Shares
whatsapp-btn

Do You Want Better RANK in Your Exam?

Start Your Preparations with Eduncle’s FREE Study Material

  • Updated Syllabus, Paper Pattern & Full Exam Details
  • Sample Theory of Most Important Topic
  • Model Test Paper with Detailed Solutions
  • Last 5 Years Question Papers & Answers