Time management is very much important in IIT JAM. The eduncle test series for IIT JAM Mathematical Statistics helped me a lot in this portion. I am very thankful to the test series I bought from eduncle.
Nilanjan Bhowmick AIR 3, CSIR NET (Earth Science)
>
>

>


Piyush pachauri
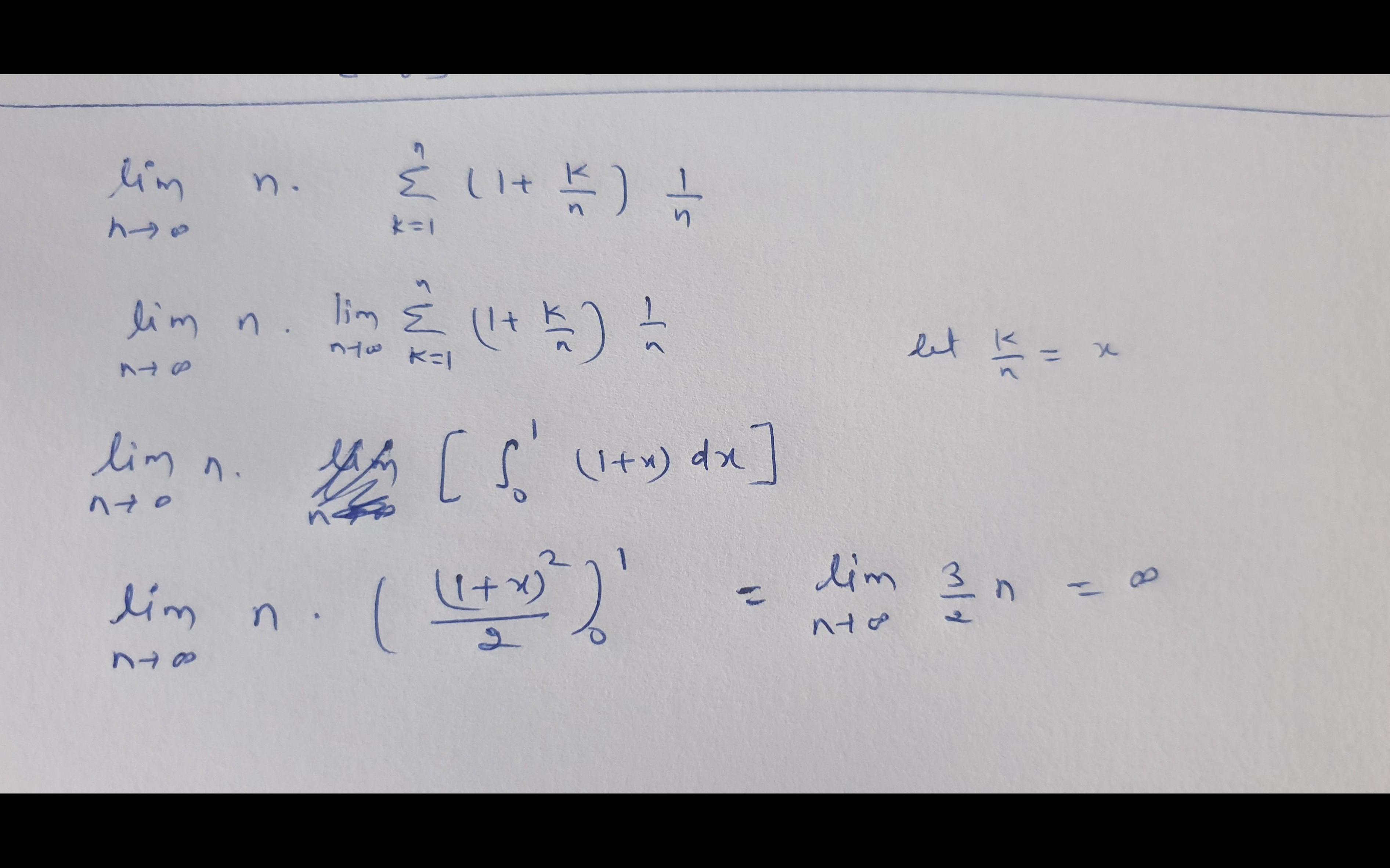
Ans should be infinity when we divide and multiply by n then in numerator n remains which will force it to be infinity.