Time management is very much important in IIT JAM. The eduncle test series for IIT JAM Mathematical Statistics helped me a lot in this portion. I am very thankful to the test series I bought from eduncle.
Nilanjan Bhowmick AIR 3, CSIR NET (Earth Science)
>


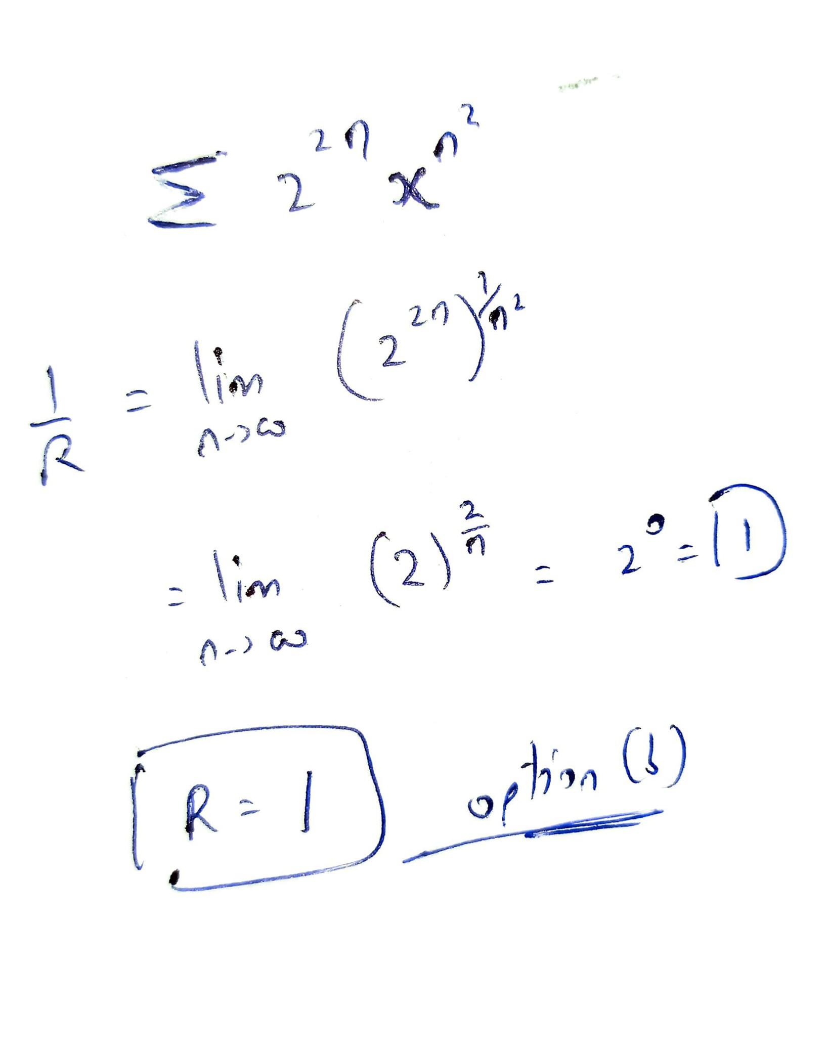
Deepak singh 1 Best Answer
refer attachment option b is correct
use this result
can I apply the formula shown in the second step to calculate R for all kinds of problems?
yes , but f(n) should ne +ve and increasing function ...
feel free to ask again ..
Deepak sir, this is how you should have written the power series in the second attachment, isn't it? please, correct me if I am wrong.
yes ... its correct .