Time management is very much important in IIT JAM. The eduncle test series for IIT JAM Mathematical Statistics helped me a lot in this portion. I am very thankful to the test series I bought from eduncle.
Nilanjan Bhowmick AIR 3, CSIR NET (Earth Science)
>


Deepak singh 1
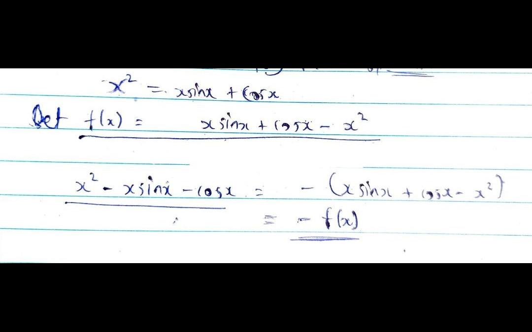
Refer attached one expression is -ve of another expression .
why the same equation lead us to two different f(x)?
here we have let two different f(x) from same expression . And they are different .