Time management is very much important in IIT JAM. The eduncle test series for IIT JAM Mathematical Statistics helped me a lot in this portion. I am very thankful to the test series I bought from eduncle.
Nilanjan Bhowmick AIR 3, CSIR NET (Earth Science)
>



Deepak singh 1
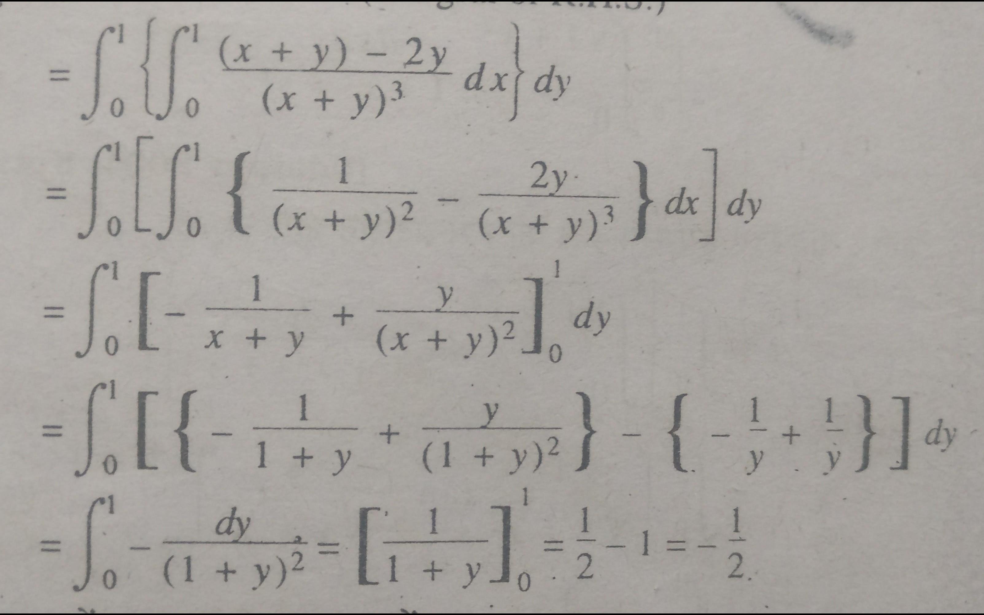
If the function under the integral is continuously differentiable, then change of integration is allowed. But here f(x,y) is not continuous at (0,0) . That's why , answer is different .
Deepak sir is that the necessary and sufficient condition to check for the change of order?
continuity is necessary condition , not sure about sufficient . Refer fubini's theorem.
feel free to ask again .
what you say about this qus.... is it continuous in reason or not
see , f(x,y) should be continuous.