Time management is very much important in IIT JAM. The eduncle test series for IIT JAM Mathematical Statistics helped me a lot in this portion. I am very thankful to the test series I bought from eduncle.
Nilanjan Bhowmick AIR 3, CSIR NET (Earth Science)
>
>



Deepak singh 1 Best Answer
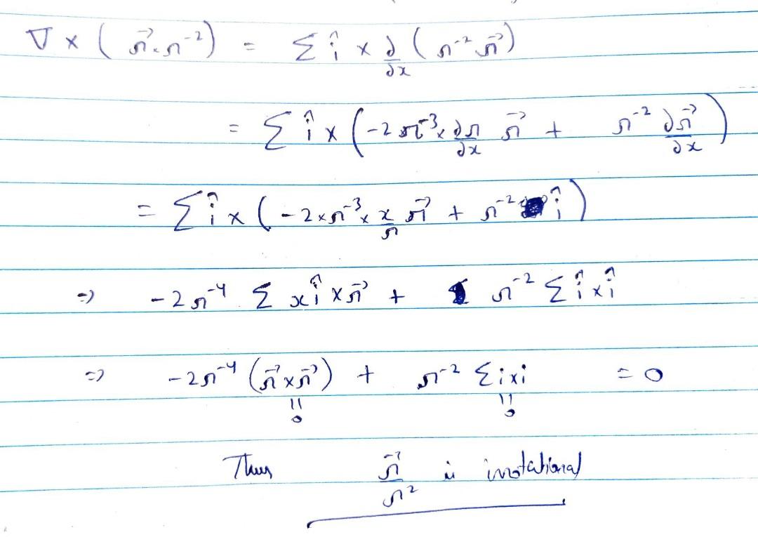
Refer attached proof
I could show that too but what about phi how to get that Deepak sir?
see part 2
since E is irrorotational , there will exist a scalar potential phi , such that ∆phi= E , which we have found .
see. I think , there is mistake of sign in phi(a)=0
Thank you Deepak sir.
welcome dear..