Time management is very much important in IIT JAM. The eduncle test series for IIT JAM Mathematical Statistics helped me a lot in this portion. I am very thankful to the test series I bought from eduncle.
Nilanjan Bhowmick AIR 3, CSIR NET (Earth Science)
>



Alka gupta
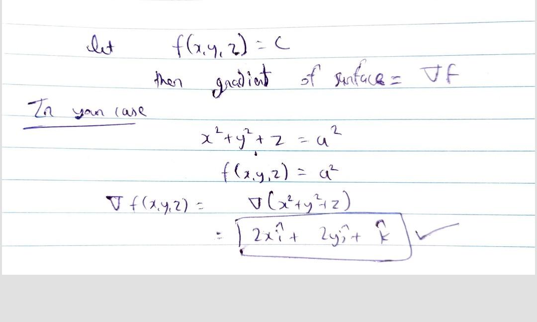
first one is correct.... second one is multiply by - sign and negative sign in gradient indicate the direction . hence if you want to find gradient of any surface then consider positive sign of highest power of variable.
but why not consider 🤔 the -ve one?
in vector calculus - sign indicate direction always ... equation of surface is f(x,y,z) = constant so you have to convert the surface in this form and I said in my above attachment always consider + sign highest degree term
why the highest degree term is important?