Time management is very much important in IIT JAM. The eduncle test series for IIT JAM Mathematical Statistics helped me a lot in this portion. I am very thankful to the test series I bought from eduncle.
Nilanjan Bhowmick AIR 3, CSIR NET (Earth Science)
>
>


Deepak singh 1 Best Answer
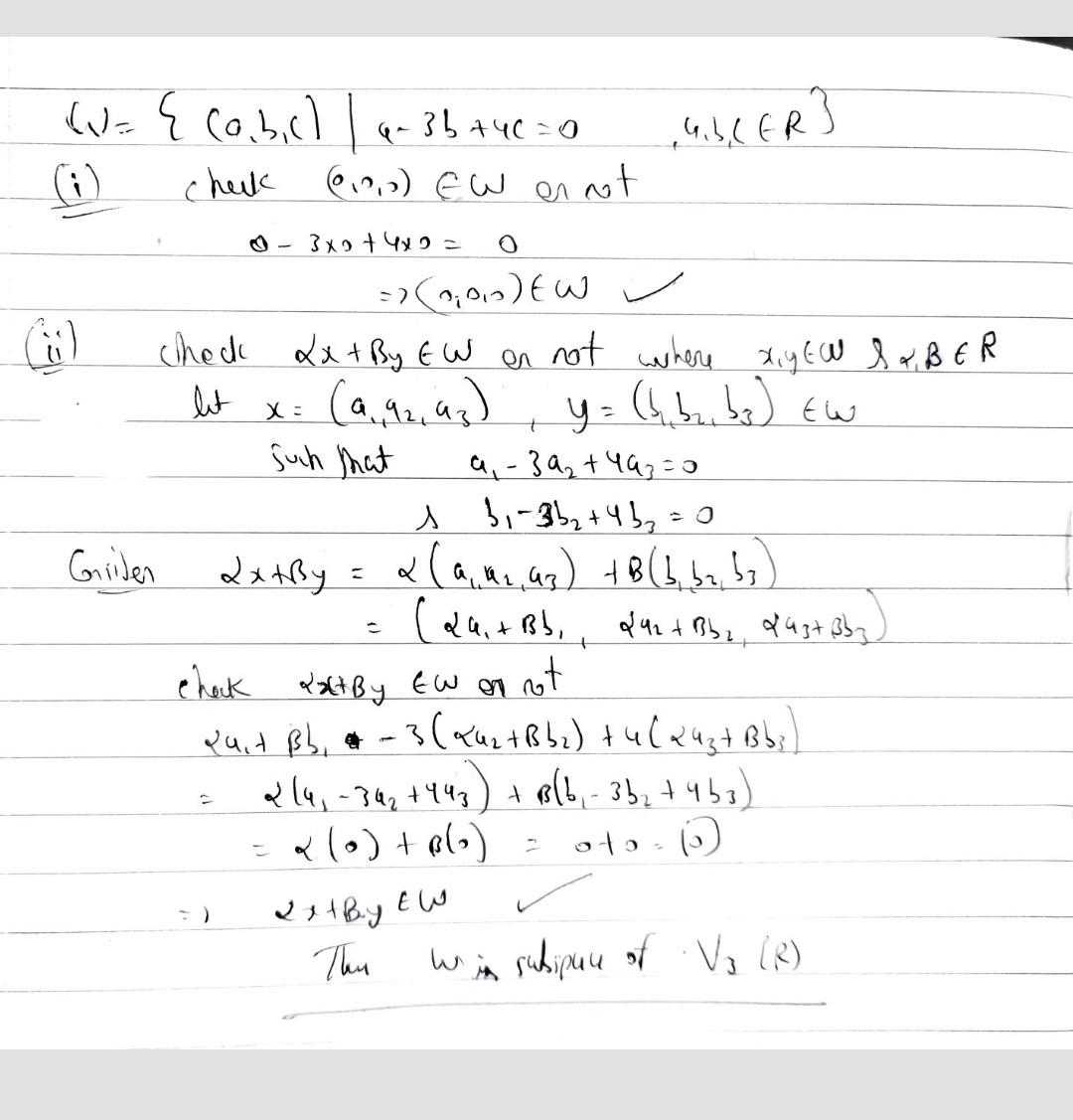
Refer attached , its necessary to check these two conditions always .
are these two necessary and sufficient conditions to prove it a subspace of some vector space?
yes , it's necessary and sufficient conditions.