Time management is very much important in IIT JAM. The eduncle test series for IIT JAM Mathematical Statistics helped me a lot in this portion. I am very thankful to the test series I bought from eduncle.
Nilanjan Bhowmick AIR 3, CSIR NET (Earth Science)
>


Alka gupta
see...
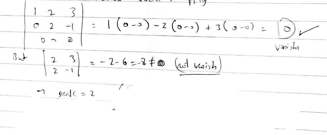
doubt
definition is say....atleast one minor should be non zero
this minor is zero .....here we have to find any one non zero minor ...if exits