Time management is very much important in IIT JAM. The eduncle test series for IIT JAM Mathematical Statistics helped me a lot in this portion. I am very thankful to the test series I bought from eduncle.
Nilanjan Bhowmick AIR 3, CSIR NET (Earth Science)
>


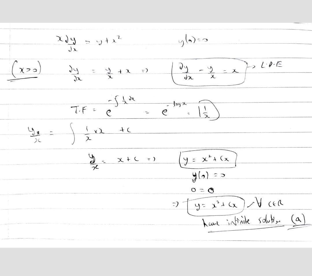
Deepak singh 1 Best Answer
Refer attached option a is correct
please tell me why I don't get the same result if I do it in the exact method?
or tell me my mistake?
your method is also correct . We are getting same answer from your method also , but at last step you have done some mistake ..
thank you Deepak sir!