Time management is very much important in IIT JAM. The eduncle test series for IIT JAM Mathematical Statistics helped me a lot in this portion. I am very thankful to the test series I bought from eduncle.
Nilanjan Bhowmick AIR 3, CSIR NET (Earth Science)
>
>



Deepak singh 1 Best Answer
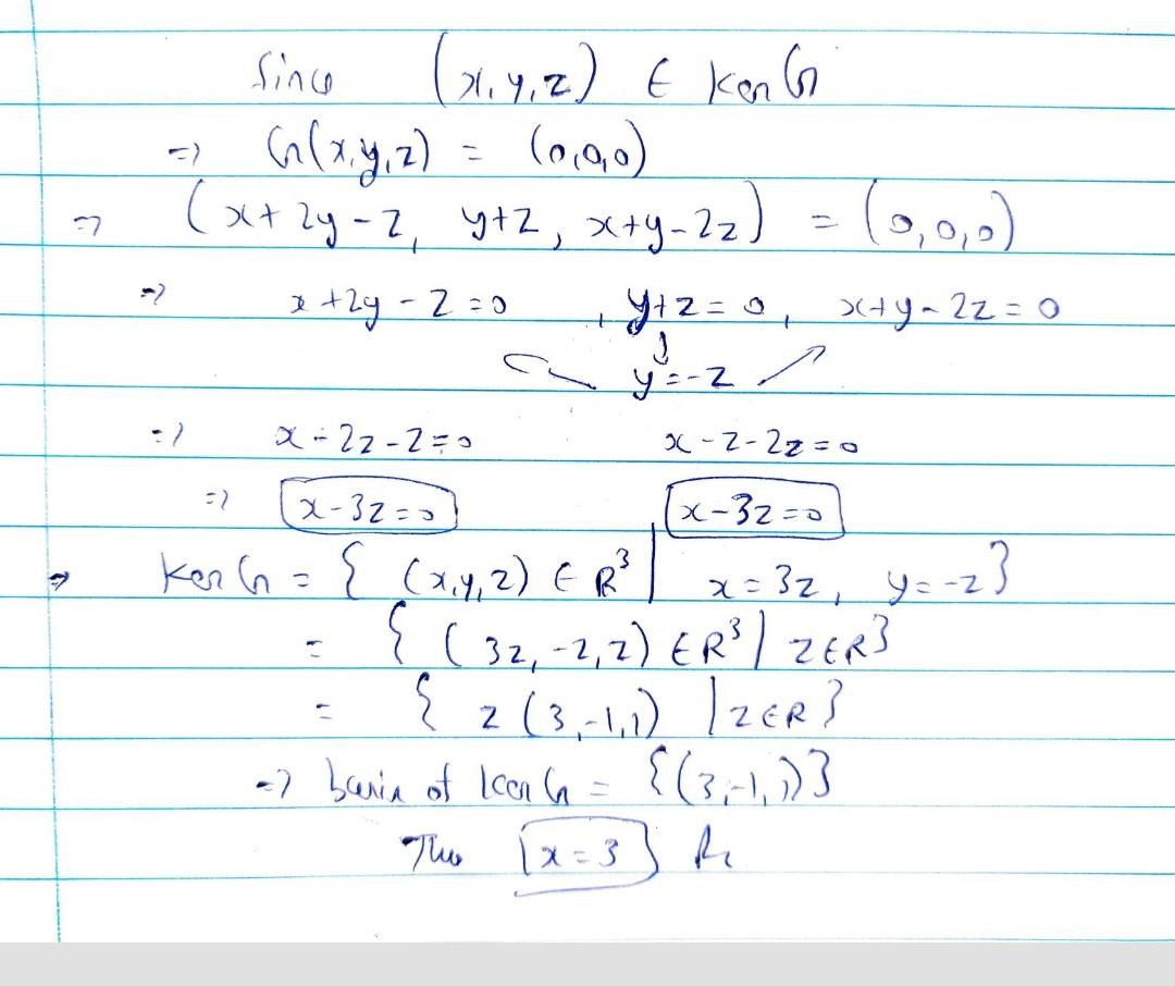
Refer attached answer is 3
sir, what does the basis of ker G me@n?
and also tell me where have I made a mistake.
kerG contains that element of domain such that G(x,y,z)= (0,0,0)
you have also done correct , at last just make basis , you will get answer 3
but it doesn't match w/ yours.
wait .
you have not uploaded it yet, just reminding you in case you forgot.
yes , I forgot .. after your last step , do in this way..
why you factored -y, you could also have factored y?
firstly , y is acting as scalars , so -y can also be factored .. and secondly , Answer should be x=+3,-3 in this case . In question they should mention about x (whether x non -negative or negative etc ). Because (3,-1,1) and (-3,1,-1) both are basis .
can you share solution , if you have ?
sure
see
if we set z=-1 , then answer is -3 .
framing of question is not well.. x may be +3 or -3 here.
if such type of question comes in jam , they will give options like x=3 or -3 etc..
in MSQ right?
yes..in any way..