Time management is very much important in IIT JAM. The eduncle test series for IIT JAM Mathematical Statistics helped me a lot in this portion. I am very thankful to the test series I bought from eduncle.
Nilanjan Bhowmick AIR 3, CSIR NET (Earth Science)
>
>



Piyush pachauri Best Answer
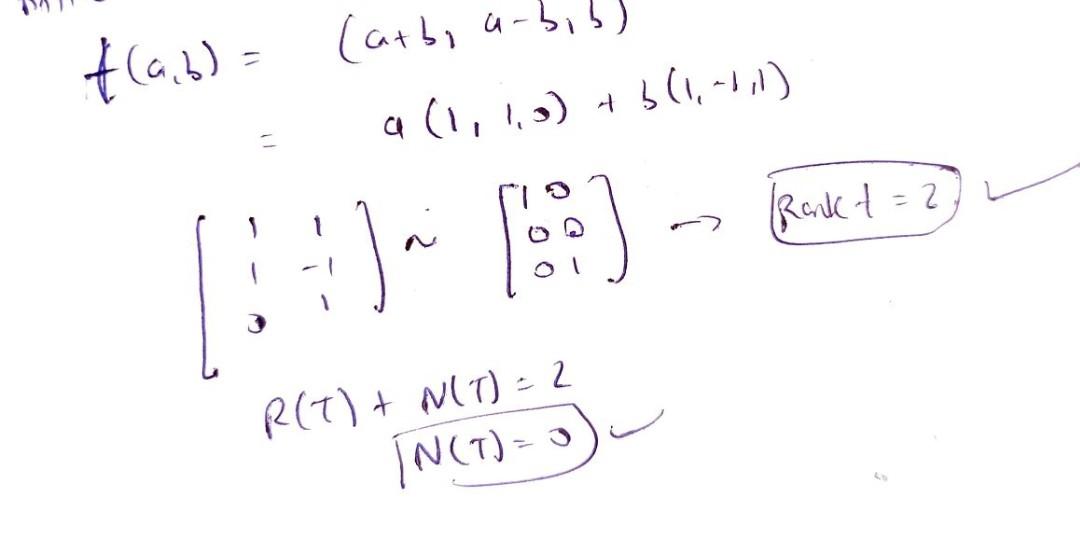
There was no need to do this , you are just asked about rank. So just see how many LI columns and you can see clearly here both columns are linearly independent. So rank will be 2.