Time management is very much important in IIT JAM. The eduncle test series for IIT JAM Mathematical Statistics helped me a lot in this portion. I am very thankful to the test series I bought from eduncle.
Nilanjan Bhowmick AIR 3, CSIR NET (Earth Science)
>
>



Sonu saini
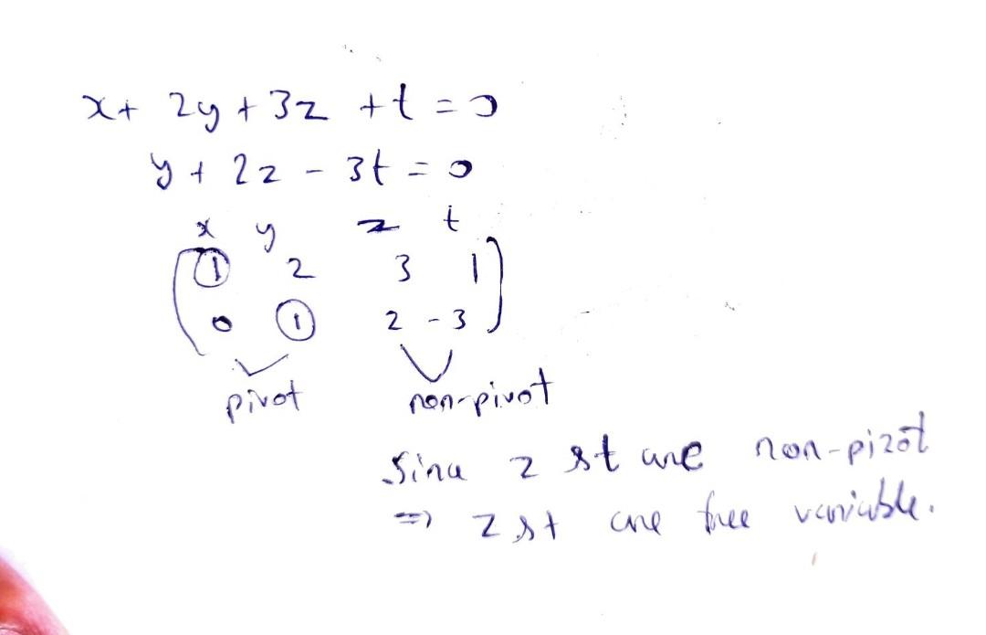
you can take any two as a free variable out of four .....but if you take z and t as a free variable then from second equation you can easily find 'y' and after using these values of z , t, y. you can find value of "x" from fist equation.