Time management is very much important in IIT JAM. The eduncle test series for IIT JAM Mathematical Statistics helped me a lot in this portion. I am very thankful to the test series I bought from eduncle.
Nilanjan Bhowmick AIR 3, CSIR NET (Earth Science)
>



Vijay Singh chauhan
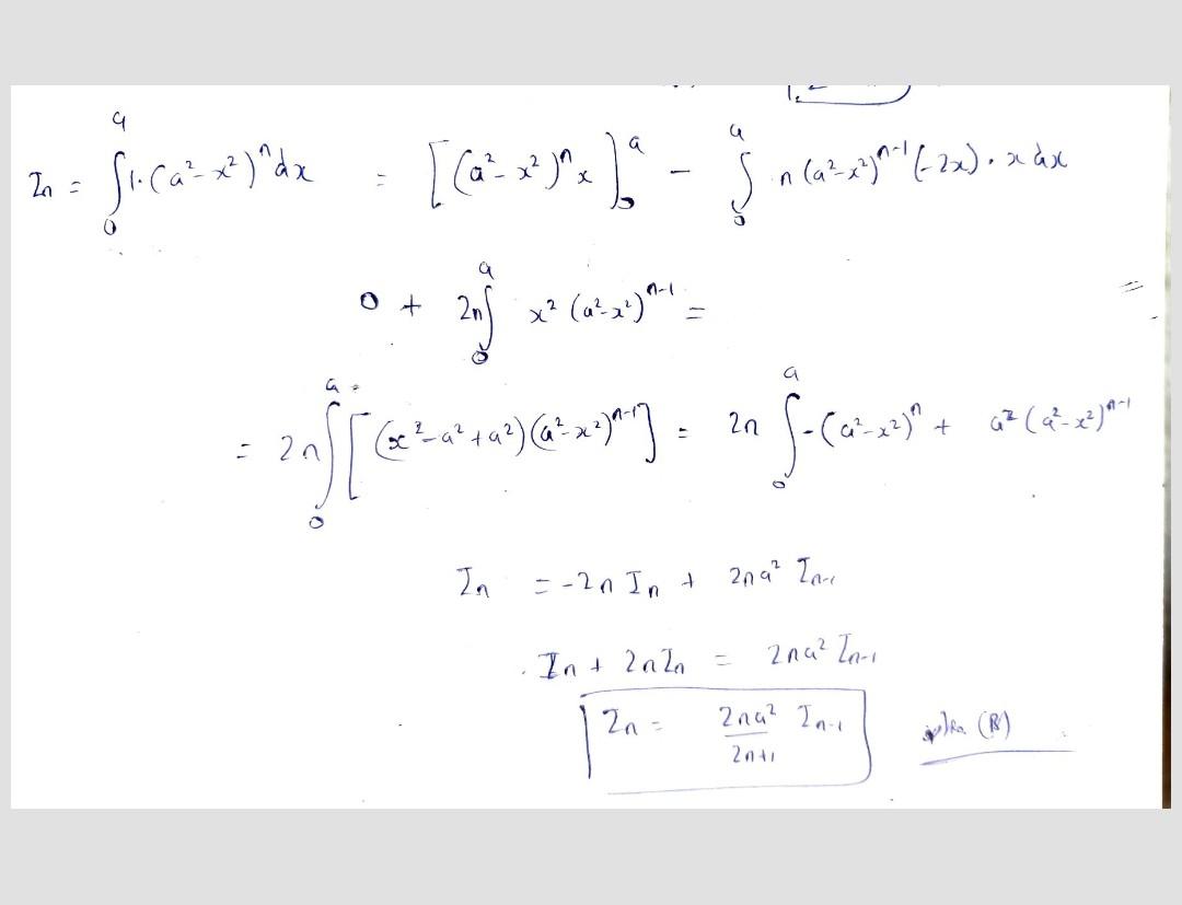
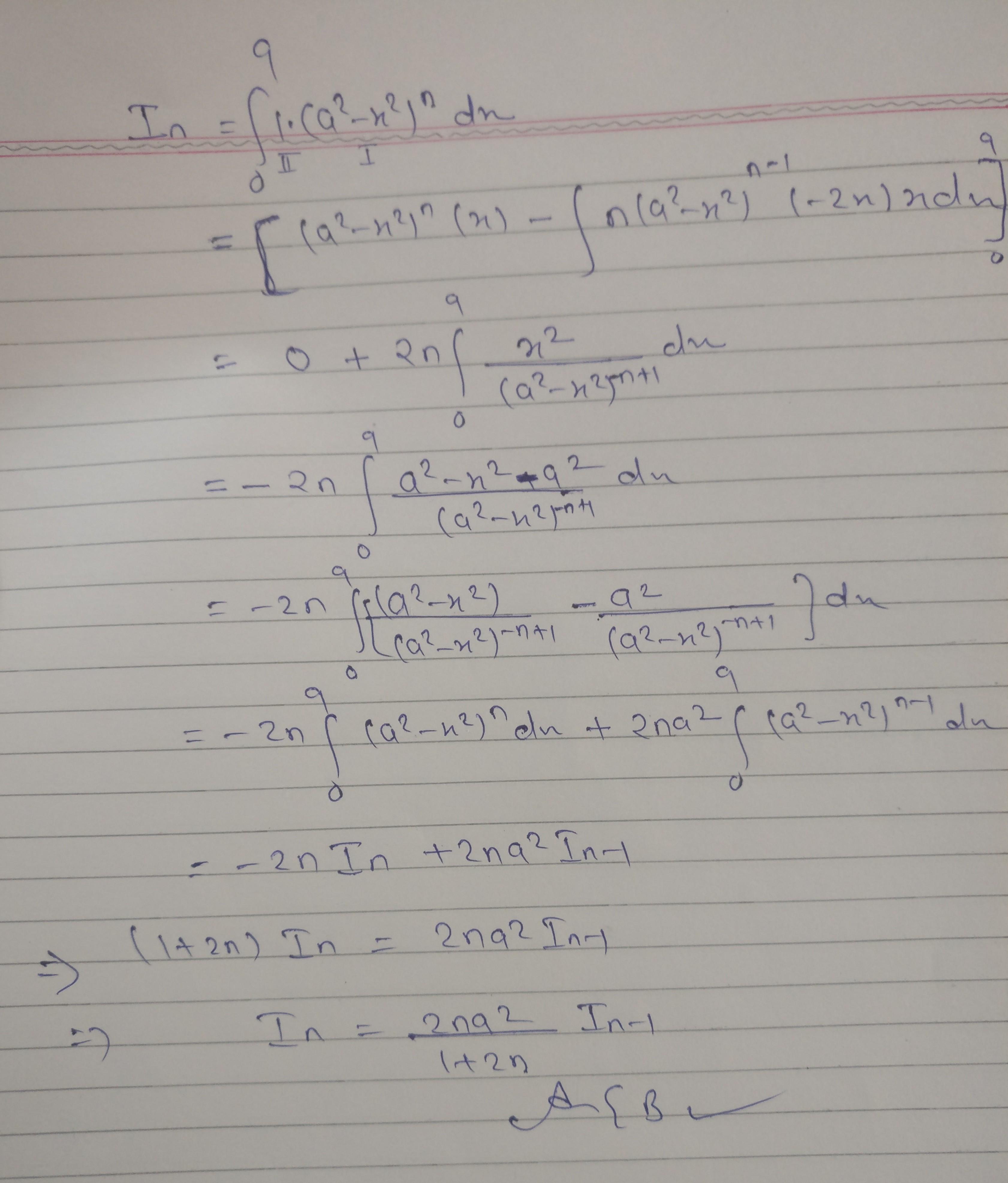
doubt
this type integration not exist.... either n on limit or in integrand ....not on both...
how do you know that?
lots of rules for integration.....this is one of the rule ....this type of integration not exist in whole integral calculus .... search in any reference book this type of qus....this qus made by you
It is valid, acc. to me we can have n both in the limit & the integrated however our answer will come out in terms of n only which meeans it is a general answer, that's is why It is legit.
what do you say?