Time management is very much important in IIT JAM. The eduncle test series for IIT JAM Mathematical Statistics helped me a lot in this portion. I am very thankful to the test series I bought from eduncle.
Nilanjan Bhowmick AIR 3, CSIR NET (Earth Science)
>


Vijay Singh chauhan
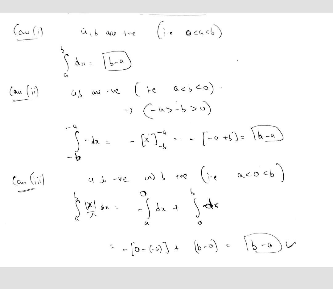
A, B, C are the correct options.
no ....if ans is given A,B,C then it is wrong..... correct ans is only b-a in all case
if we fix a,b then option A should be correct . And if we vary a,b then option A,B,c are correct .