Time management is very much important in IIT JAM. The eduncle test series for IIT JAM Mathematical Statistics helped me a lot in this portion. I am very thankful to the test series I bought from eduncle.
Nilanjan Bhowmick AIR 3, CSIR NET (Earth Science)
>



Deepak singh 1
Refer attached
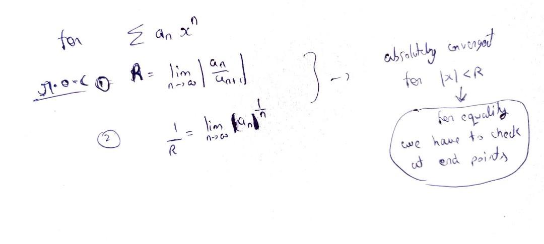
what about the int. of cong.?
this is for int. of cong. , right?
I have write formula of ROC . And for interval of convergence , we have to check at end points . there is no direct formula to check at end points , so no formula for interval of convergence.