Time management is very much important in IIT JAM. The eduncle test series for IIT JAM Mathematical Statistics helped me a lot in this portion. I am very thankful to the test series I bought from eduncle.
Nilanjan Bhowmick AIR 3, CSIR NET (Earth Science)
>


Deepak singh 1
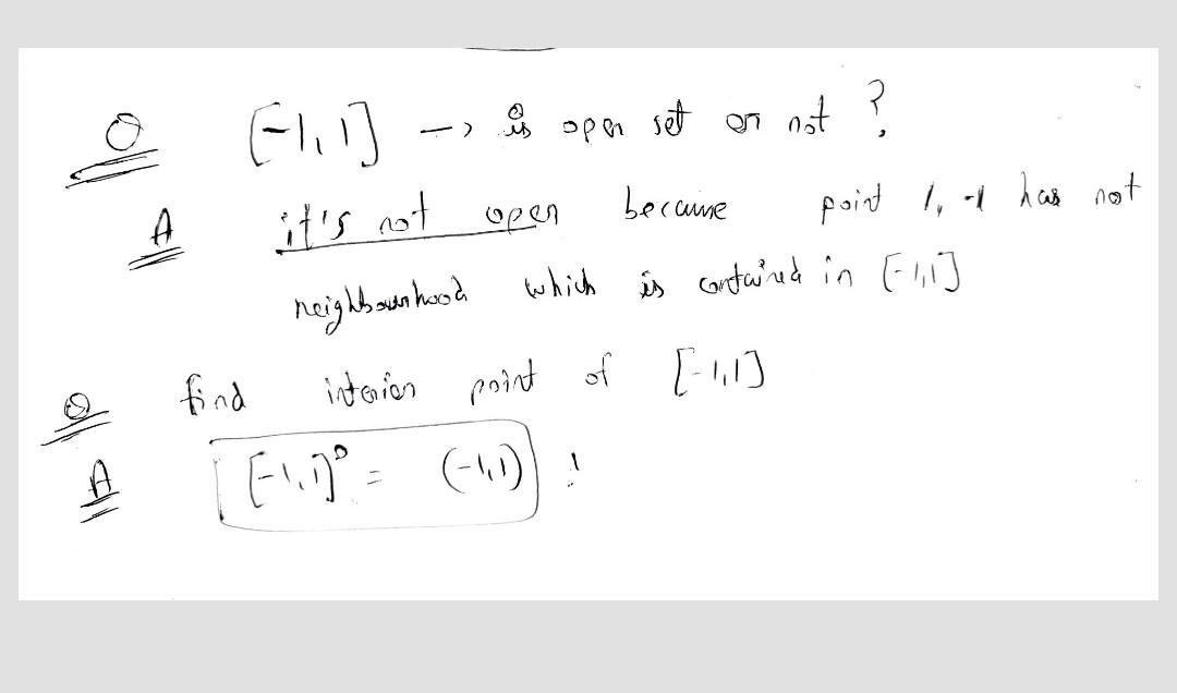
Interior - let S subset of R , A point x belongs to R is interior point of S if there exist $ >0 such that (x-$,x+$) is contained in S Open set - A set is open , if it is neighborhood of each of its point . Refer attached Example .