Time management is very much important in IIT JAM. The eduncle test series for IIT JAM Mathematical Statistics helped me a lot in this portion. I am very thankful to the test series I bought from eduncle.
Nilanjan Bhowmick AIR 3, CSIR NET (Earth Science)
		
			
			
			
			
			
			
			
			
			
>
	
				
            
            

                
Deepak singh 1 Best Answer
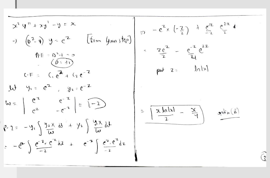
Refer attached , option b is correct
where is the mistake in my soln?
your is also correct . But when given two L.I solution in questions , we generally use wroskian method( variation of parameter) to solve