Time management is very much important in IIT JAM. The eduncle test series for IIT JAM Mathematical Statistics helped me a lot in this portion. I am very thankful to the test series I bought from eduncle.
Nilanjan Bhowmick AIR 3, CSIR NET (Earth Science)
>


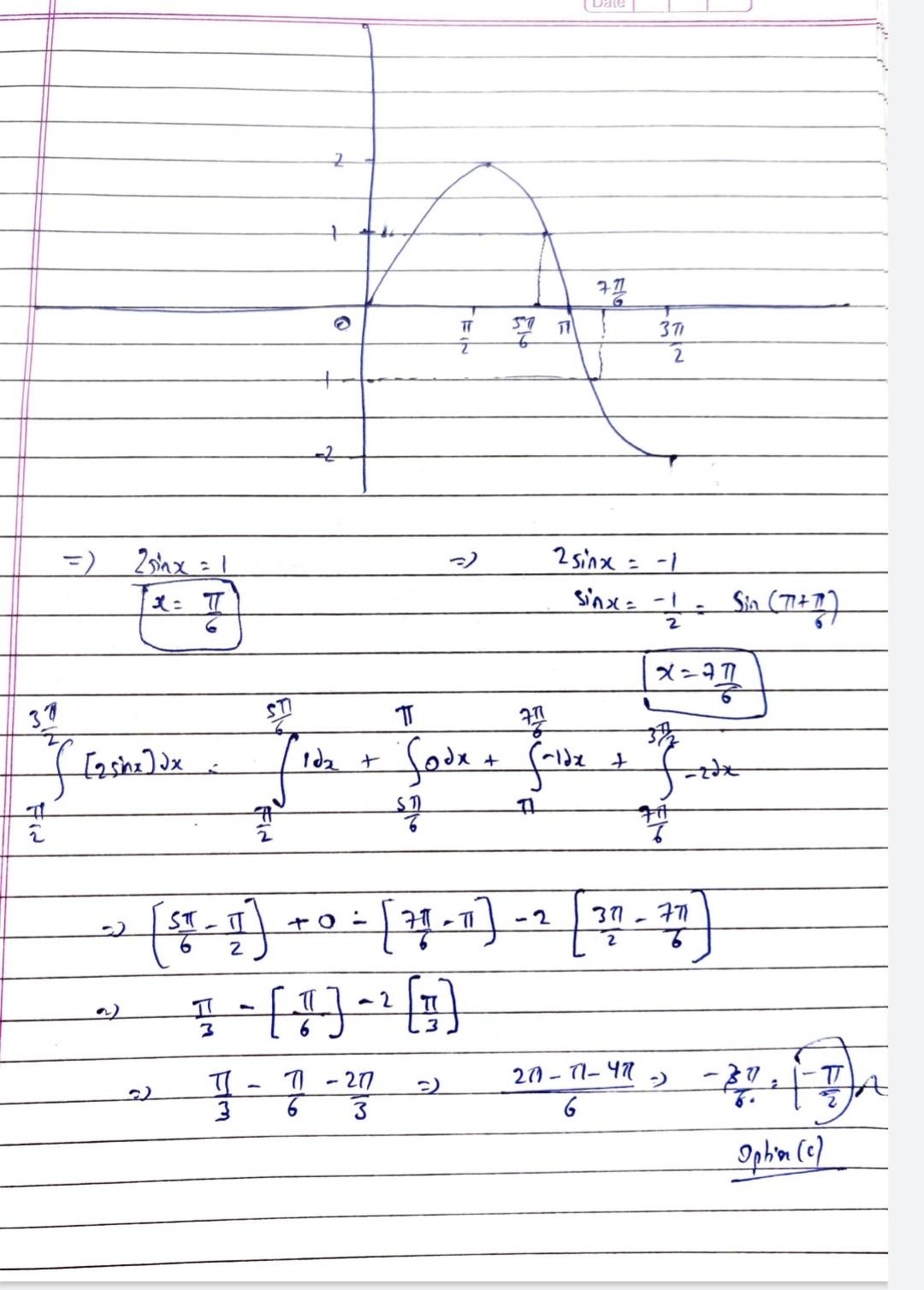
Deepak singh 1
Refer attached option c
doubt
i have wrote this to draw graph .. aimed to find x at which 2sinx=1.
but why equate to 1 and not other values?
because here function is greatest integer function , so we are checking graph at integers between x=π/2 and 3π/2 . So that we can divide x according to integers .