Time management is very much important in IIT JAM. The eduncle test series for IIT JAM Mathematical Statistics helped me a lot in this portion. I am very thankful to the test series I bought from eduncle.
Nilanjan Bhowmick AIR 3, CSIR NET (Earth Science)


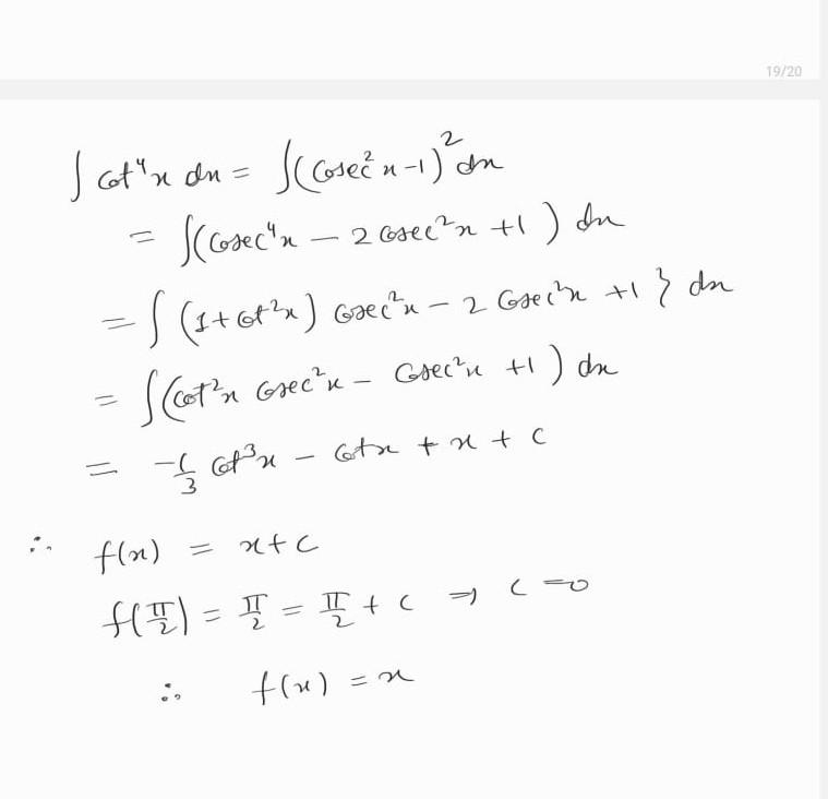
Priyadarshan Choursiya Best Answer
see attachment use (cosec X)^2 - (cot X)^2 = 1