Time management is very much important in IIT JAM. The eduncle test series for IIT JAM Mathematical Statistics helped me a lot in this portion. I am very thankful to the test series I bought from eduncle.
Nilanjan Bhowmick AIR 3, CSIR NET (Earth Science)
>



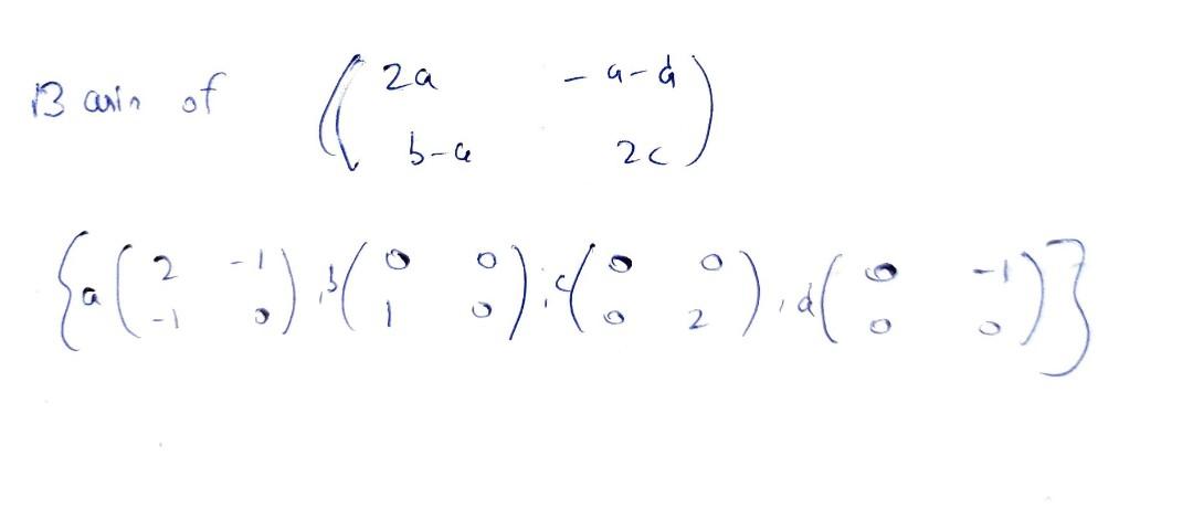
Deepak singh 1 Best Answer
Refer attached
can you please show the intermediate steps?
wait
Refer attached
now it is crystal clear.
thank you for your amazing work