Time management is very much important in IIT JAM. The eduncle test series for IIT JAM Mathematical Statistics helped me a lot in this portion. I am very thankful to the test series I bought from eduncle.
Nilanjan Bhowmick AIR 3, CSIR NET (Earth Science)
>



Alka gupta
ans A,B,D...
how do you know this?
this is property of rank of a matrix if A is mxn order matrix then Rank(A) <= min { m,n}
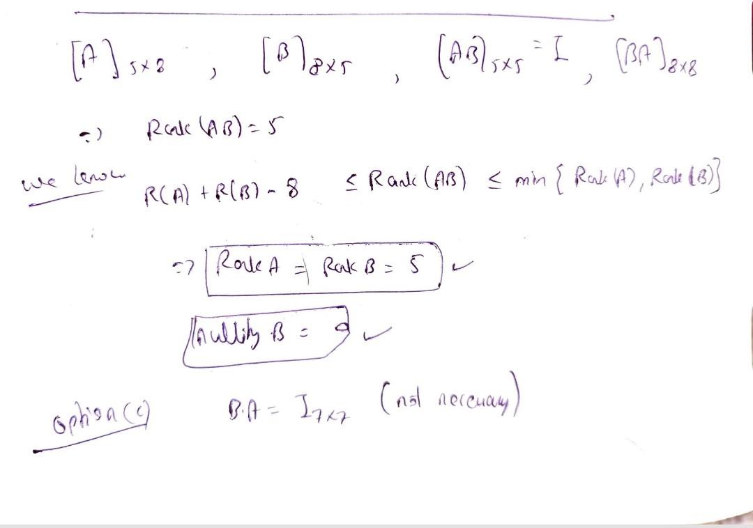
how, please show it
4th equation
is that also a property of rank of a matrix?
if A and B are inverse of each other then rank will be same of both matrices