Time management is very much important in IIT JAM. The eduncle test series for IIT JAM Mathematical Statistics helped me a lot in this portion. I am very thankful to the test series I bought from eduncle.
Nilanjan Bhowmick AIR 3, CSIR NET (Earth Science)
>


Deepak singh 1 Best Answer
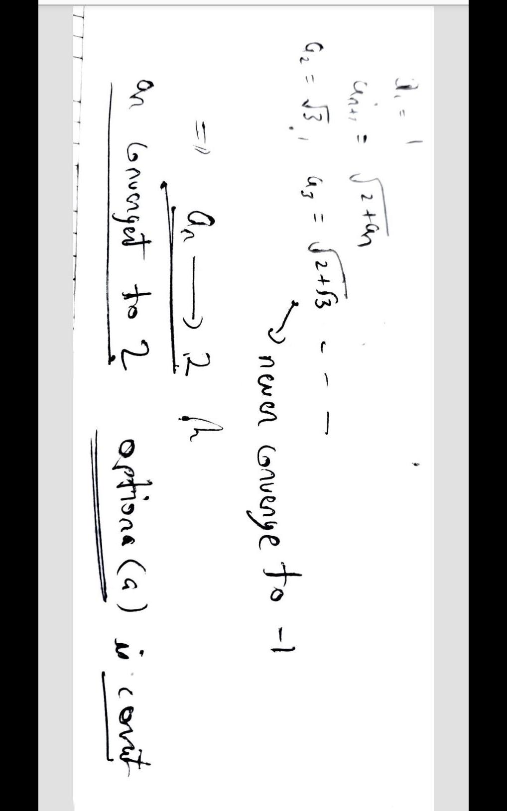
Refer attached sequence is convergent to 2.
so it is always sure that it will converge to one of the roots?
if sequence is monotonic and bounded , only then convergent to one if its root .
ohkay