Time management is very much important in IIT JAM. The eduncle test series for IIT JAM Mathematical Statistics helped me a lot in this portion. I am very thankful to the test series I bought from eduncle.
Nilanjan Bhowmick AIR 3, CSIR NET (Earth Science)
>


Deepak singh 1 Best Answer
Refer attached option c is correct .
doubt
doubt
yes , wait
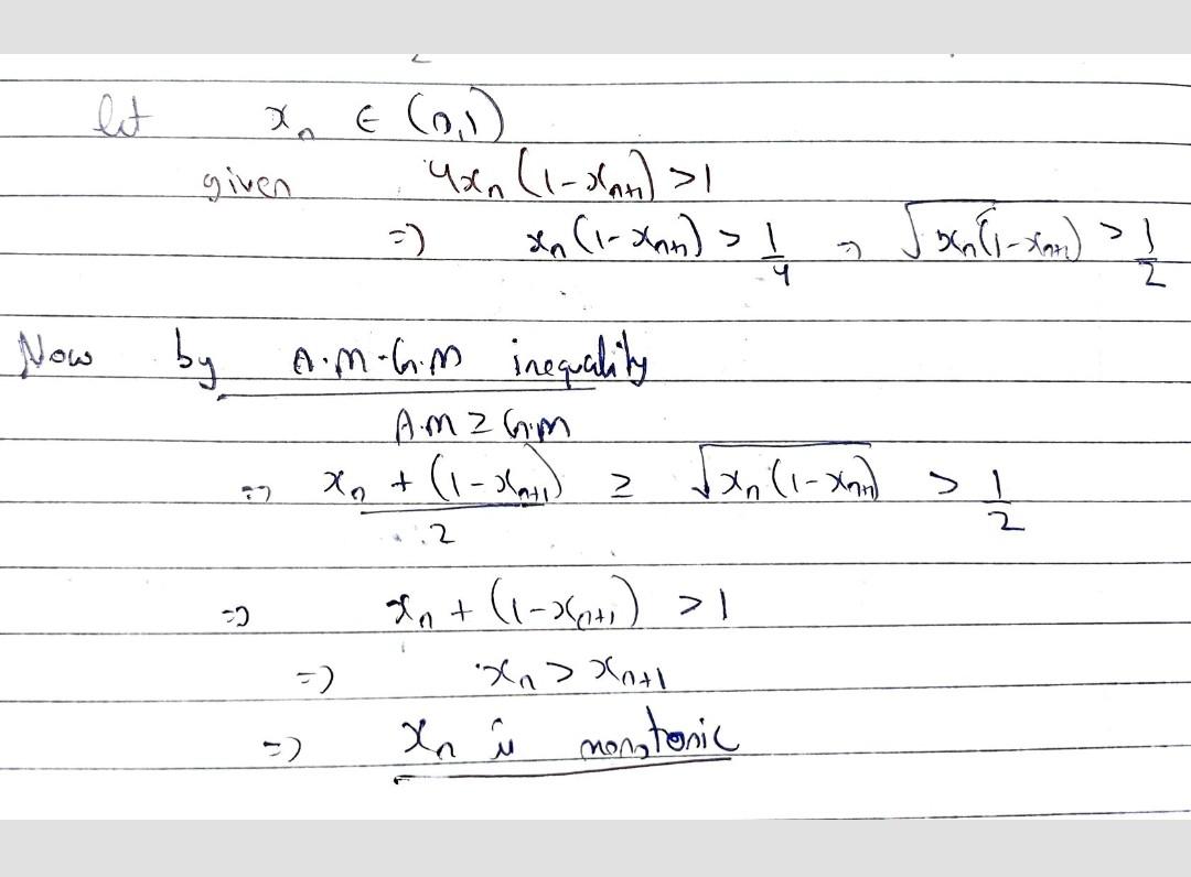
Refer attached intermediate steps
Since xn belongs to (0,1) . So we will not consider -1/2 case .
doubt
Refer
doubt
strict monotonicity for strict inequality .
.
last doubt
not for all combination . Only for product .
see..